2012年岩土工程师考试基础知识模拟试题:高等数学(单项选择题4)

发布时间:2012-07-25 共1页

高等数学(单项选择题4)
一、单项题的备选项中只有一个最符合题意,错选、多选均不得分。
1.设a、b、c均为非零向量,则与a不垂直的向量是:



 
正确答案:D 解题思路:提示:非零向量a⊥ba·b=0,把a分别和A、B、C、D作数量积得,向量a与A、B、C的数量积均为0,D与a的数量积计算如下
[a+(a×b)×a]·a=a·a+(a×b)×a·a=|a|≠0
 
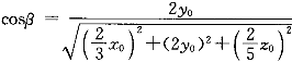
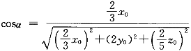
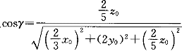
2.曲面x/3+y+z/5=1上M点的法向量与三个坐标轴正向的夹角相等,M点的坐标有两个答案分别是:



 
正确答案:C 解题思路:提示:设M(x,y,z)为曲面上点,求过M的法线向量,,计算出方向余弦,因为分母相等,所以只要分子相等,即(2/3)x=2y=(2/5)z,(1/3)x=y=(1/5)z,x=3y,z=5y,将x=3y,y=y,z=5y代入方程,得到y=±1/3,确定C。
 
3.已知|a|=1,|b|=,且=π/4,则|a+b|等于:



 
正确答案:D 解题思路:提示:计算|a+b|=(a+b)·(a+b)=a·a+b·a+a·b+b·b=5。
 
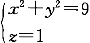
4.球面x+y+(z+3)=25与平面z=1的交线的方程是:



 
正确答案:D 解题思路:提示:空间曲线方程用两曲面方程联立形式表示。即把z=1,x+y+(z+3)=25联立,消z得x+y=9,故在z=1平面上的曲线方程为选项D。
 
5.Ω是由曲面z=x+y,y=x,y=0,z=1在第一象限所围成的闭区域,f(x,y,z)在Ω上连续,则f(x,y,z)dV等于:



 
正确答案:C 解题思路:提示:确定Ω在xOy,平面上投影区域的图形,写出在直角坐标系下先z后x最后y的三次积分。

百分百考试网 考试宝典

立即免费试用