2012年咨询工程师考试现代咨询方法与实务考前冲刺(一)

发布时间:2012-07-25 共1页

考前冲刺(一)
一、案例分析题
1.2007年某工业消费品的总产销量为78万元,其主要消费部门包括A、B、C、D四个部门,根据历史数据,A、B、C、D四个消费部门对该产品的消费系数分别为1.2、0.6、1.0、1.6。已知各消费部门根据各自的市场预测制定了2008年的生产计划如表1.1所示。

【问题】
1.根据题中数据预测该工业消费品2008年的市场总需求量。
2.假定2008年年初该工业消费品的供应商完全根据问题1的预测结果安排生产计划,但供应商们发现2008年部分消费部门缩减了原来的生产计划,预计2008年总体需求与2007年持平,即市场在2007年价格水平下只能销售掉78万元该工业消费品,市场出现供大于求,供应商必须采取降价措施,已知该工业消费品的价格弹性绝对值约为1.5,2007年产品的市场平均价格为120元。试测算为了将2008年计划生产产品全部卖出,该消费品的市场价格应降到何种水平。
[考点]市场分析与战略分析
 
 
正确答案:
1.计算各产业部门对该产品的需求。
A部门:30×1.2万元=36万元B部门:20×0.6万元=12万元
C部门:20×1万元=20万元D部门:15×1.6万元=24万元
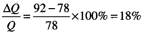
汇总得到该产品明年的市场总需求量X=(36+12+20+24)万元=92万元
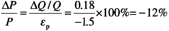
2.一般产品的价格弹性为负数,即价格弹性εp=-1.5。
(1)计算该工业消费品销售量的变化率:

(2)根据价格弹性公式计算价格变化率:

(3)计算明年该工业消费品的市场价格:
P=120+(-0.12)×120=105.6元

百分百考试网 考试宝典

立即免费试用