发布时间:2012-05-07 共1页
| 一、A1型题:每一道试题下面有A、B、C、D、E五个备选答案。请从中选择一个最佳答案。 |
| 1.随机抽样中较准确而且便于实行的方法是 |
| 正确答案:A |
|
|
| 2.用于描述变异程度的指标是 |
| 正确答案:D |
|
|
| 3.抽样误差是 |
| 正确答案:E |
|
|
| 4.观察各种死亡原因所占的比重大小,最好绘制的图形为 |
| 正确答案:C |
|
|
| 5.百分条图表示各组成部分百分构成,与之作用相同的是 |
| 正确答案:C |
|
|
| 二、A2型题:每一道考题是以一个小案例出现的,其下面都有A、B、C、D、E五个备选答案。请从中选择一个最佳答案 |
6.某地1973-1976年出血热病死情况如下 假设当地这期间人口变动不太大,可以得出如下结论 |
| 正确答案:C |
|
|
| 7.一般溃疡病患者有22%发生胃出血症状,现在某医生观察60岁以上病人150例,其中46例发生出血症状,结论为 |
| 正确答案:E |
|
|
| 8.某地调查100人得收缩压X=140mmHgS=10mmHg,该地95%的人收缩压的范围是 |
| 正确答案:B |
|
|
| 9.某市流行性乙型脑炎逐年病死率(1949~1955年)为48.9‰、43.1‰、27.3‰、21.5‰、20.0‰、18.2‰、12.7‰,据此资料画图,应选用 |
| 正确答案:E |
|
|
| 10.有8个某种传染病病人,他们的潜伏期分别为2、1、21、7、12.1、4、13,其中位数是 |
| 正确答案:B |
|
|
| 三、B1型题:以下提供若干组考题,每组考题共用在考题前列出的A、B、C、D、E五个备选答案。请从中选择一个与问题关系最密切的答案。某个备选答案可能被选择一次、多次或不被选择。 |
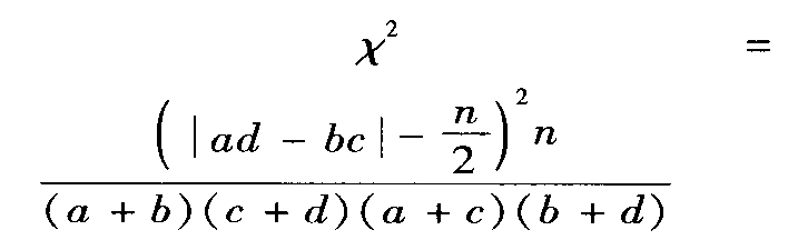
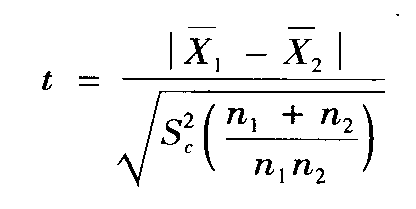
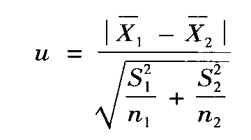
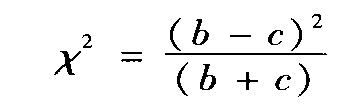
| (11-13题共用备选答案) |
A.![]() B. ![]() C. ![]() D. ![]() E. ![]() |
| 11.作两个小样本均数的假设检验用 | |
| 12.作两个大样本均数的比较时用 | |
| 13.配对计量资料的假设检验用 |
| 正确答案:11.C,12.D,13.B |
|
|
| (14-16题共用备选答案) |
A.![]() B. ![]() C. ![]() D. ![]() E. ![]() |
14.在四格表的x 检验中,若1≤T<5且n>40时应选用 |
|
15.在四格表的x 检验中,若T<1或n≤40时应选用 |
|
16.行×列表的x 检验应选用 |
| 正确答案:14.B,15.E,16.D |