2012年药剂士考试基础知识习题集——药物化学(A1型题7)

发布时间:2012-03-28 共1页

五、药物化学(A1型题7)
一、A1型题:以下每一道题下面有A、B、C、D、E五个备选答案。请从中选择一个最佳答案。
1.以下的结构式代表的药物是




 
正确答案:B 解题思路:题干为诺氟沙星的结构式。
 
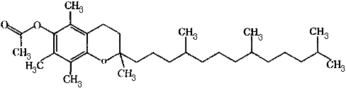
2.如下结构是哪个药物




 
正确答案:A 解题思路:题中所给结构为维生素E。
 
3.青霉素制成粉针剂的原因是




 
正确答案:D 解题思路:青霉素极易水解,故必须制成粉针剂防止水解。
 
4.青霉素在室温酸性条件下发生何种反应




 
正确答案:D 解题思路:青霉素于稀酸溶液中(pH4.0),在室温条件下侧链上羰基氧原子上的孤对电子作为亲核试剂连攻β-内酰胺环,经重排生成青霉二酸。
 
5.下列说法正确的是




 
正确答案:B 解题思路:青霉素与头孢菌素没有相同侧链,不存在交叉过敏。青霉素临床主要用于革兰阳性菌引起的全身或严重的局部感染。青霉素在碱性条件下生成青霉胺和青霉醛。青霉素的母核是由β-内酰胺环和六元噻嗪环并合而成。青霉素G不可以口服,经结构改造成青霉素V钾方可口服。

百分百考试网 考试宝典

立即免费试用