2012年造价工程师考试建设工程技术与计量(土建)习题集:六、工程计量(单项选择题2)

发布时间:2014-02-25 共1页

六、工程计量(单项选择题2)
一、单项选择题
1.一砖厚外墙下为等高式三台大放脚砖基础(每阶宽62.5mm,高126mm),长10m,基础底标高-2.18m,基础中含有钢筋混凝土地圈梁高180mm,该条基的砌砖工程量为(   )



 
正确答案:A 解题思路:首先要确定墙和基础的分界线,按规定墙与基础为相同材料时以室内±0.00为界,然后计算三台等高大放脚砖基础的横断面积,在计算横断面积时,还要扣除钢筋混凝土地圈梁的面积。V=L×S=10[bH+n(n+1)×0.126×0.0625]=10×[0.24×(2.18-0.18)+3×(3+1)×0.126×0.0625]=5.745(m)。如忘扣地圈梁会得6.177m
 
2.根据《建设工程工程量清单计价规范》GB50500-2008,下列关于预制混凝土楼梯的叙述错误的是(   )。



 
正确答案:D 解题思路:预制混凝土楼梯按设计图示尺寸以体积计算。不扣除构件内钢筋、预埋铁件所占体积,扣除空心踏步板空洞体积。
 
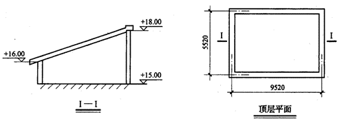
3.有一建筑顶层设计为储藏室(平面如图),四面墙厚为360mm,则该层的建筑面积为(   )m



 
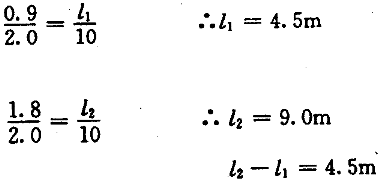
正确答案:C 解题思路:顶层为单坡屋顶,坡度为20%属坡屋顶且设计加以利用,其建筑面积应据其净高区分为三部分:
净高>2.10m的部分:6.0×4.5=27(m)
净高1.2≤H≤2.10部分:6.0×4.5×=13.5(m)
净高<1.20部分:不计算按相似形对应边成比例得:

同理:
∴该建筑顶层建筑面积为40.50m
 
4.根据《建设工程工程量清单计价规范》的有关规定,防腐面层工程量清单计算中,正确的是(   )。



 
正确答案:B 解题思路:防腐面层工程量清单计算中,聚氯乙烯面层、块料防腐面层按设计图示尺寸以面积计算,平面防腐扣除凸出地面的构筑物、设备基础所占的面积;立面防腐砖垛按展开面积并入墙面积内;踢脚板防腐要扣除门洞所占面积并相应增加门洞侧壁面积。因此。B为正确答案。
 
5.以展开面积计算的门窗工程是(   )。



 
正确答案:B 解题思路:门窗工程量计算中,木门、金属门、木窗、金属窗按设计图示数量计算;窗帘盒、窗帘轨、窗台板按设计图示尺寸以长度计算;门窗套按设计图示尺寸以展开面积计算。

百分百考试网 考试宝典

立即免费试用