发布时间:2010-01-19 共1页
第五节 市场法与成本法在企业价值评估中的应用
1、企业价值评估的市场法
企业价值评估的市场法就是在市场上找出一个或几个与被评估企业相同或相似的参照系企业,分析、比较被评估企业和参照系企业的重要指标,在此基础上,修正、调整参照系企业的市场价值,最后确定被评估企业的价值:其理论依据就是"替代原则".
市场法中常用的两种具体方法是参考企业比较法和并购案例比较法。
(1)参考企业比较法是指通过对资本市场上与被评估企业处于同一或类似行业的上市公司的经营和财务数据进行分析,计算适当的价值比率或经济指标,在与被评估企业比较分析的基础上,得出评估对象价值的方法。
(2)并购案例比较法是指通过分析与被评估企业处于同一或类似行业的公司的买卖、收购及合并案例,获取并分析这些交易案例的数据资料,计算适当的价值比率或经济指标,在与被评估企业比较分析的基础上。得出评估对象价值的方法:
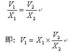
市场法评估思路可用公式表示如下:(关键是找到适合评估对象的可比指标)

式中:V1——被评估企业价值;
V2——可比企业价值;
X1——被评估企业与企业价值相关的可比指标;
X2一一可比企业与企业价值相关的可比指标。
通常又称为可比价值比率或倍数。式中X参数可选用以下财务变量但不限于以上变量:利息、折旧和税收前利润,即EBIDT;无负债的净现金流量;净现金流量;净利润;销售收入;净资产。
确定价值比率的关键:
(1)对可比企业的选择。包括行业标准和财务标准。
(2)对可比指标的选择。原则:可比指标应与企业的价值直接相关。如:市盈率乘数法。
为了减低个体差异对评估的影响,国际上通用办法是采用多样本、多参数的综合方法。见教材P431,表10-5.