发布时间:2012-03-23 共1页
| 一、A1型题:以下每一道题下面有A、B、C、D、E五个备选答案。请从中选择一个最佳答案。 |
| 1.以下哪一项与阿司匹林的性质不符( ) |
| 正确答案:C |
|
|
| 2.阿司匹林与碳酸钠溶液共热,放冷后用稀硫酸酸化,析出的白色沉淀是( ) |
| 正确答案:C |
|
|
| 3.阿司匹林在湿润和较高温度条件下,可发生颜色变化,是因为( ) |
| 正确答案:D |
|
|
| 4.下列哪项与扑热息痛的性质不符( ) |
| 正确答案:E |
|
|
| 5.下列哪个为阿司匹林的结构式( ) |
| 正确答案:A |
|
|
| 二、B型题:是一组试题(2至4个)公用一组A、B、C、D、E五个备选。选项在前,题干在后。每题只有一个正确答案。每个选项可供选择一次,也可重复选用,也可不被选用。考生只需为每一道题选出一个最佳答案。 |
| (6-10题共用备选答案) |
A.![]() B. ![]() C. ![]() D. ![]() E. ![]() |
| 6.萘普生的结构是( ) | |
| 7.贝诺酯的结构是( ) | |
| 8.布洛芬的结构是( ) | |
| 9.吲哚美辛的结构是( ) | |
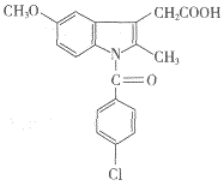
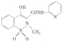
| 10.吡罗昔康的结构是( ) |
| 正确答案:6.E,7.A,8.B,9.C,10.D |
|
|
| (11-15题共用备选答案) |
| A.在碱性条件下水解,水解产物可发生重氮化偶合反应 B.结构中具有酯键,可以水解生成水杨酸 C.结构中具有吲哚基团 D.属于邻氨基苯甲酸类非甾体抗炎药 E.缓释制剂之一为芬必得 |
| 11.布洛芬( ) | |
| 12.阿司匹林( ) | |
| 13.对乙酰氨基酚( ) | |
| 14.吲哚美辛( ) | |
| 15.甲芬那酸( ) |
| 正确答案:11.E,12.B,13.A,14.C,15.D |