发布时间:2012-03-23 共1页
| 一、A1型题:以下每一道题下面有A、B、C、D、E五个备选答案。请从中选择一个最佳答案。 |
| 1.维生素A在空气中不稳定是因为结构中具有( ) |
| 正确答案:B |
|
|
| 2.对酸不稳定,遇Lewis酸或无水氯化氢乙醇溶液,易发生脱水反应的维生素是( ) |
| 正确答案:A |
| 3.下列关于维生素A的叙述,错误的是( ) |
| 正确答案:A |
| 4.可阻止体内亚硝胺的合成,有预防早期癌变作用的维生素A代谢产物是( ) |
| 正确答案:B |
| 5.下列关于维生素D的说法,错误的是( ) |
| 正确答案:B |
| 二、B型题:是一组试题(2至4个)公用一组A、B、C、D、E五个备选。选项在前,题干在后。每题只有一个正确答案。每个选项可供选择一次,也可重复选用,也可不被选用。考生只需为每一道题选出一个最佳答案。 |
| (6-10题共用备选答案) |
| A.叶酸 B.芦丁 C.维生素B ![]() D.维生素B ![]() E.维生素D |
| 6.主要用于各种巨幼红细胞性贫血的是( ) | |
| 7.主要用于防治佝偻病或软骨病的是( ) | |
| 8.主要用于治疗高血压脑病,视网膜出血等症的是( ) | |
| 9.用于防治白细胞减少症,尤适用于肿瘤化疗或放疗引起的白细胞减少症的是( ) | |
| 10.用于防治异烟肼中毒,妊娠、放射病及抗癌药所致的呕吐的是( ) |
| 正确答案:6.A,7.E,8.B,9.C,10.D |
|
|
| (11-15题共用备选答案) |
| A.维生素E B.维生素K ![]() C.维生素B ![]() D.维生素A E.维生素C |
11.具有 结构的药物是( ) |
|
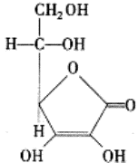
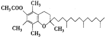
12.具有 结构的药物是( ) |
|
13.具有 结构的药物是( ) |
|
14.具有 结构的药物是( ) |
|
15.具有 结构的药物是( ) |
| 正确答案:11.D,12.C,13.E,14.A,15.B |