查找
考试宝典
考试宝典简介
医学考试
执业医师
临床执业医师
临床执业助理医师
口腔执业医师
口腔执业助理医师
中西医医执业医师
中西医执业助理医师
公卫执业医师
公卫执业助理医师
new
乡村全科助理医师
执业药师资格
考试介绍
考试科目
考试大纲
报名条件
政策解析
报名时间
考试时间
考试题型
成绩管理
通过标准
证书注册
执业护士
考试介绍
考试大纲
报名条件
报名时间
报名方式
考试时间
考试题型
通过标准
卫生资格
护师
主管护师
内科主治医师
外科主治医师
妇产科主治医师
儿科主治医师
全科主治医师
药学职称
中药学职称
检验职称
医学高级职称
考试介绍
考试大纲
考试报名
报考条件
考试流程
考试题型
考试用书
健康管理师
考试介绍
报名条件
报名时间
报名方式
考试时间
考试大纲
考试内容
就业方向
成绩查询
证书领取
住院医师规培
卫生系统招聘
医用设备业务能力考评
更多医学考试动态
中国卫生人才网报名入口
国家医学考试网报名入口
建筑考试
一级建造师
考试简介
报名时间
报名条件
报名入口
报考流程
考试时间
考试科目
考试大纲
成绩查询
二级建造师
考试简介
报名时间
报名条件
报名入口
报考流程
考试时间
考试科目
考试大纲
成绩查询
消防工程师
考试简介
报名时间
报名条件
报名入口
报考流程
考试时间
考试科目
考试大纲
成绩查询
造价工程师
考试简介
报名时间
报名条件
报名入口
报考流程
考试时间
考试科目
考试大纲
成绩查询
监理工程师
考试简介
报名时间
报名条件
报名入口
报考流程
考试时间
考试科目
考试大纲
成绩查询
会计考试
初级会计职称
考试简介
报名时间
报名条件
报名入口
报考流程
考试时间
考试科目
考试大纲
成绩查询
中级会计职称
考试简介
报名时间
报名条件
报名入口
报考流程
考试时间
考试科目
考试大纲
成绩查询
注册会计师
考试简介
报名时间
报名条件
报名入口
报考流程
考试时间
考试科目
考试大纲
成绩查询
经济师
初级经济师
考试简介
报名时间
报名条件
报名入口
报考流程
考试时间
考试科目
考试大纲
成绩查询
中级经济师
考试简介
报名时间
报名条件
报名入口
报考流程
考试时间
考试科目
考试大纲
成绩查询
高级经济师
考试简介
报名时间
报名条件
报名入口
报考流程
考试时间
考试科目
考试大纲
成绩查询
全科主治医师
中医主治医师
内科主治医师
心血管内科主治医师
呼吸内科主治医师(代码:305)
消化内科主治医师(代码:306)
肾内科主治医师(代码:307)
神经内科主治医师(代码:308)
内分泌主治医师(代码:309)
血液内科主治医师(代码:310)
结核病主治医师(代码:311)
传染病主治医师(代码:312)
风湿与临床免疫主治医师(代码:313)
职业病主治医师(代码:314)
中医内科主治医师(代码:315)
中西医结合内科主治医师(代码:316)
外科主治医师(代码:317)
骨外科主治医师(代码:318)
胸心外科主治医师(代码:319)
神经外科主治医师(代码:320)
泌尿外科主治医师(代码:321)
小儿外科主治医师(代码:322)
烧伤外科主治医师(代码:323)
整形外科主治医师(代码:324)
中医外科主治医师(代码:325)
中西医结合外科主治医师(代码:326)
中医肛肠科主治医师(代码:327)
中医骨科主治医师(代码:328)
妇产科主治医师(代码:330)
中医妇科主治医师(代码:331)
儿科主治医师(代码:332)
中医儿科主治医师(代码:333)
眼科主治医师(代码:334)
中医眼科主治医师(代码:335)
耳鼻咽喉科主治医师(代码:336)
中医耳鼻喉主治医师(代码:337)
皮肤与性病学科主治医师(代码:338)
中医皮肤与性病学主治医师(代码:339)
精神病学主治医师(代码:340)
肿瘤学主治医师(代码:341、342、343)
放射医学主治医师(代码:344)
核医学主治医师(代码:345)
麻醉科主治医师(代码:347)
康复医学主治医师(代码:348)
推拿按摩主治医师(代码:349)
中医针灸主治医师(代码:350)
病理科主治医师(代码:351)
口腔科主治医师(代码:353)
口腔内科主治医师(代码:354)
口腔颌面外科主治医师(代码:355)
口腔修复科主治医师(代码:356)
口腔正畸科主治医师(代码:357)
疼痛科主治医师(代码:358)
重症医学主治医师(代码:359)
计划生育主治医师(代码:360)
预防医学主治医师(代码:361、362、363、364、365)
主管药师(代码:366)
主管中药师(代码:367)
主管护师(代码:368)
内科主管护师(代码:369)
外科主管护师(代码:370)
妇产科主管护师(代码:371)
儿科主管护师(代码:372)
社区主管护师(代码:373)
口腔医学主管技师(代码:375)
放射医学主管技师(代码:376)
核医学主管技师(代码:377)
超声医学与技术主管技师(代码:378)
临床医学检验主管技师(代码:379)
病理学主管技师(代码:380)
康复医学治疗主管技师(代码:381)
营养学主治医师(代码:382)
理化检验主管技师(代码:383)
微生物检验主管技师(代码:384)
消毒主管技师(代码:385)
心理治疗学主治医师(代码:386)
心电学主管技师(代码:387)
肿瘤放射治疗主管技师(代码:388)
病案信息主管技师(代码:389)
主治医师(职业卫生)
主治医师(妇幼保健)
主治医师(公共卫生)
主治医师(疾病控制)
主治医师(健康教育)
主治医师(临床医学检验学)
主管技师(输血技术)
初级药士(代码:101)
初级中药士(代码:102)
临床医学检验技士(代码:105)
初级药师(代码:201)
初级中药师(代码:202)
初级护师(代码:203)
临床医学检验技师(代码:207)
康复医学治疗技术(士)
病案信息技术(士)
放射医学技术(士)
病案信息技术(师)
放射医学技术(师)
口腔医学技术(士)
当前位置:
首页
医学类
卫生资格考试
模拟试题
主治医师(健康教育)
2012主治医师(健康教育)考试基础知识习题集:卫生统计学(A1型题2)
发布时间:2012-03-31 共1页
卫生统计学(A1型题2)
一、A1型题
1.假设检验中,P与α的关系是( )
A.P值的大小与α的大小无关
B.P越小,α越大
C.P越大,α越大
D.二者均需通过计算确定
E.二者均可事先确定
正确答案:A
2.为研究新旧两种仪器测量血生化指标的差异,分别用这两台仪器测量同一批样品,则统计检验方法应用( )
A.配对设计χ
检验
B.成组设计u检验
C.配对设计t检验
D.配对设计u检验
E.成组设计t检验
正确答案:C
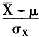
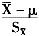
3.对样本均数
作t变换的是( )
A.
B.
C.
D.
E.
正确答案:A
4.标准差与标准误的关系中,正确的是( )
A.二者均反映抽样误差的大小
B.总体标准差不变时,增大样本例数可以减小标准误
C.总体标准差增大时,总体的标准误也增大
D.样本例数增大时,样本的标准差和标准误都会减小
E.标准差用于计算可信区间,标准误用于计算参考值范围
正确答案:B
5.关于假设检验,下列说法正确的是( )
A.一定要计算检验统计量
B.检验水准的符号为β
C.P可以事先确定
D.备择假设用H
表示
E.假设检验是针对总体的特征进行
正确答案:E
百分百考试网 考试宝典
立即免费试用
最近更新
热点排行
2014年健康教育主治医师考试专业知识-模拟试题(二)
2014年健康教育主治医师考试专业知识-模拟试题(一)
2014年健康教育主治医师考试相关专业知识-模拟试题(二)
2014年健康教育主治医师考试相关专业知识-模拟试题(一)
2014年健康教育主治医师考试基础知识-模拟试题(二)
2014年健康教育主治医师考试基础知识-模拟试题(一)
2014年主治医师考试(健康教育)全真模拟试题与答案(6)
2014年主治医师考试(健康教育)全真模拟试题与答案(5)
2014年主治医师考试(健康教育)全真模拟试题与答案(4)
2014年主治医师考试(健康教育)全真模拟试题与答案(3)
主治医师考试(健康教育)相关专业知识试题 A3型题1
2012主治医师(健康教育)考试专业知识和专业实践能力习题集:健康教育与健康促进(A1型题4)
2014年主治医师考试(健康教育)全真模拟试题与答案(6)
2012主治医师(健康教育)考试基础知识习题集:卫生统计学(A1型题2)
2012主治医师(健康教育)考试基础知识习题集:流行病学(A3型题)
2014年健康教育主治医师考试基础知识-模拟试题(一)
主治医师考试(健康教育)基础知识试题 A1型题7
主治医师考试(健康教育)专业知识和专业实践能力试题 A3型题1
2012主治医师(健康教育)考试基础知识习题集:流行病学(A1型题2)
2012主治医师(健康教育)考试基础知识习题集:流行病学(A1型题1)