2012年房地产经纪人执业资格考试房地产经济相关知识习题集16

发布时间:2012-07-25 共1页

 六、房地产价格和估价知识(单项选择题2)
一、单项选择题:每题1分。每题的备选答案中,只有一个最符合题意。
1.根据调查,某房地产的土地取得成本为1000万元,开发成本为1500万元,管理费用为260万元,投资利息为280万元,销售费用为360万元,正常直接成本利润率为25%,则开发利润为(  )万元。




正确答案:A 解题思路:要注意直接成本与成本的区别。直接成本利润率=利润/土地取得成本+开发成本,利润=(1000+1500)×25%=625万元
 
2.某旧住宅,测算其重置价格为40万元,地面、门窗等破旧引起的物质折旧为1万元,因户型设计不好,没有独用厕所和共用电视天线等导致的功能折旧为6万己,由于位于城市衰落地区引起的经济折旧为3万元,该住宅的现值为(  )万元。




正确答案:A 解题思路:现值=重置价枷折旧总额=40-10=30万元
 
3.某旧住宅,测算其重置价格为40万元,地面、门窗等破旧引起的物质折旧为1万元,因户型设计不好,没有独用厕所和共用电视天线等导致的功能折旧为6万己,由于位于城市衰落地区引起的经济折旧为3万元,该住宅的折旧总额是(  )万元。




正确答案:D 解题思路:折旧总额=物质折旧+功能折旧+经济折旧=1+6+3=10万元
 
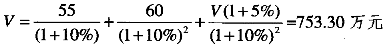
4.某宗房地产未来两年的净收益分别为55万元和60万元,两年后的价格比现在的价格上涨5%。该类房地产的报酬率为10%,该宗房地产现在的价格为(  )万元。




正确答案:A 解题思路:
 
5.某宗房地产的收益期限为38年,通过预测得到其未来5年的净收益分别为20万元、22万元、25万元、28万元、30万元,从未来第6年到第38年每年的净收益将稳定在35万元左右,该类房地产的报酬率为10%,该宗房地产的收益价格为(  )万元。




正确答案:B 解题思路:

百分百考试网 考试宝典

立即免费试用