2012年主治医师考试预防医学考试卫生统计学考试试题1

发布时间:2012-03-30 共1页

 卫生统计学(A1型题1)
一、A1型题:题干在前,选项在后。有A、B、C、D、E五个备选答案其中只有一个为最佳答案,其余选项为干扰答案。考生须在5个选项中选出一个最符合题意的答案(最佳答案),并按考试规定的方式将答题卡相应的位置上的字母图黑。
1.单因素设计的方差分析中,必然有





正确答案:E 解题思路:方差分析(analysisofvariance,ANOVA)的基本思想就是根据资料的设计类型,即变异的不同来源将全部观察值总的离均差平方和(sumofsquaresofde-viationsfrommean,SS)和自由度分解为两个或多个部分,除随机误差外,其余每个部分的变异可由某个因素的作用(或某几个因素的交互作用)加以解释,如各组均数的变异SS组间可由处理因素的作用加以解释。通过各变异来源的均方与误差均方比值的大小,借助F分布作出统计推断,判断各因素对各组均数有无影响。
 
2.均数和标准差的关系是





正确答案:E 解题思路:平均数(average)是代表一组变量值的平均水平或集中趋势,是一组变量值的典型代表。标准差(stantdarddeviation)是表示一组数据变异程度大小的一个指标。
 
3.若变量X服从N(μ,σ)的正态分布,则X的第95百分位数即为





正确答案:D
 
4.对于正态分布资料,可用于估计99%的参考值范围的是





正确答案:C
 
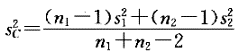
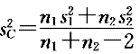
5.在两样本均数比较的t检验中,计算合并方差的公式为





正确答案:D

百分百考试网 考试宝典

立即免费试用