2012年主治医师考试预防医学考试卫生统计学考试试题6

发布时间:2012-03-30 共1页

 卫生统计学(X型题)
一、X型题:由一个题干和A、B、C、D、E五个备选答案组成,题干在前,选项在后。要求考生从五个备选答案中选出二个或二个以上的正确答案,多选、少选、错选均不得分。
1.标准化时应注意





正确答案:AB
 
2.对计数资料进行统计描述的主要指标有





正确答案:BDE
 
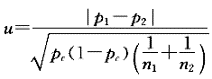
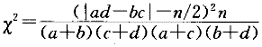
3.四格表资料,当总例数72>40且T>5时,进行χ检验可选用的计算公式有





正确答案:ACDE
 
4.某组的组中值是该组观测值的





正确答案:BC
 
5.应用行×列表资料χ检验应注意的问题有





正确答案:BC

百分百考试网 考试宝典

立即免费试用