发布时间:2012-03-30 共1页
| 一、A1型题:题干在前,选项在后。有A、B、C、D、E五个备选答案其中只有一个为最佳答案,其余选项为干扰答案。考生须在5个选项中选出一个最符合题意的答案(最佳答案),并按考试规定的方式将答题卡相应的位置上的字母图黑。 |
| 1.统计表中可以不出现的项目为 |
| 正确答案:A 解题思路:统计表中必须要有的项目是标题、标目(横标目和纵标目)、线条和数字。备注是表的解释或说明,有的表可以没有备注,如有备注应在表的下方,备注前面加上"*"号: |
|
|
| 2.属于秩和检验的是 |
| 正确答案:D 解题思路:秩和检验属于非参数统计方法,包括配对设计资料的秩和检验、随机区组设计资料的秩和检验(M检验)、完全随机设计资料的两样本比较的秩和检验和完全随机设计资料的多样本比较的秩和检验(H检验)。 |
|
|
| 3.直线回归分析中,应变量Y又称为 |
| 正确答案:D 解题思路:直线回归分析中,自变量X又称为独立变量、解释变量和预测变量;应变量Y又称为结果变量。 |
|
|
| 4.比较两家医院15年床位数的增加速度。可选用的统计图为 |
| 正确答案:C 解题思路:直条图用于按质量分组的资料;构成图用于总体中各组成部分所占的比重或分布;散点图用于两现象间的相互关系的描述;统计地图用于表示某现象的地域分布;线图表示的是连续性资料的发展变化;两家医院15年床位数的增加速度属于连续性资料的发展变化,所以选用线图。 |
|
|
| 5.2002年某医院住院病人中肺癌患者占15%,该15%是 |
| 正确答案:B 解题思路:构成比代表某组成部分的观察单位数占同一事物各组成观察单位总数的比重。所有住院患者包括各类疾病患者,该15%是肺癌患者在各类疾病患者中的比重,它表示所有住院患者中有15%是肺癌患者,所以该15%是构成比。 |
|
|
| 二、B型题:是一组试题(2至4个)公用一组A、B、C、D、E五个备选。选项在前,题干在后。每题只有一个正确答案。每个选项可供选择一次,也可重复选用,也可不被选用。考生只需为每一道题选出一个最佳答案。 |
| (6-9题共用备选答案) |
A.![]() B. ![]() C. ![]() D. ![]() E. ![]() |
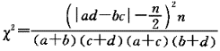
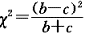
6.n≥40且T≥5时χ 值的专用公式是 |
|
7.n≥40且1<T<5时χ 值的计算公式是 |
|
8.行×列表χ 值的计算公式是 |
|
9.b+c≤40时配对χ 检验的计算公式是 |
| 正确答案:6.A,7.E,8.B,9.D |
|
|
| (10-12题共用备选答案) |
| A.数值变量资料 B.二分类变量资料 C.多分类变量资料 D.等级分类变量资料 E.圆形分类变量资料 |
| 10.正常人脉搏数的测量值是 | |
| 11.观察某药对病人治疗的结果为治愈和j}治愈,该资料为 | |
| 12.某药疗效判定为痊愈、好转、显效和无效,该资料为 |
| 正确答案:10.A,11.B,12.D |