2012年一级建造师考试建筑工程习题集建筑工程施工机械设备管理

发布时间:2012-07-25 共1页

建筑工程施工机械设备管理
一、单项选择题
1.某公司新承接工程需购置一台塔吊,塔吊的价格为150万元,运输、拆迁、安装一次总费用10万元,年使用费6万元,塔吊使用年限20年,残值20万元,年复利率8%。那么该公司购置的塔吊年折旧费用是(   )万元。



 
正确答案:C 解题思路:年折旧费=(总采购费-总残值)×资金回收系数+总残值×利率

=13.24万元
 
2.某机械设备的资产原值为2800万元,折旧年限为15年,净残值为设备原值的4%,按平均年限法计算年折旧额为(   )万元。



 
正确答案:B 解题思路:年折旧费=(原值-净残值)/折旧年限
=(2800-2800×4%)/15
=179.2万元
 
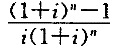
3.当采用复利贷款方式采购施工机械设备时,其年折旧费中资金回收系数表达式正确的是(   )。



 
正确答案:C
 
4.下列各项中,最适宜开挖含水量不超过27%的松土和普通土的施工机械是(   )。



 
正确答案:B
 
二、多项选择题
5.关于企业购买设备与租赁设备方案相比较,下列说法中正确的有(   )。




 
正确答案:ABDE
 
6.关于土方施工机械的作业范围,下列说法中正确的是(   )。




 
正确答案:ABCE
 
7.适于开挖一~四类土的土方机械有(   )。




 
正确答案:ACE
三、案例分析题
8.【案例1】
某工程需购置某设备一台,经市场调查有三种型号设备满足要求,相关参数如下表(采购当年贷款复利利率为8%):

问题:
对上述各方案进行列式计算比较,并选出正确的设备采购方案。
 
正确答案:
【案例1】答:
设备采购方案比选的直接依据就是各方案设备年总费用值。
年总费用=施工机械设备的年折旧费+年使用费+年安装费
年折旧费=年分配采购费-年分配残值
=(总采购费-总残值)×资金回收系数+总残值×利率
资金回收系数=
则年费用计算如下:
设备A=
=311.5万元
设备B=
=303.4万元
设备C=
=352.4万元
经过比较,设备B的年总费用在三者中最低,故应选择购置设备B。

百分百考试网 考试宝典

立即免费试用