发布时间:2012-03-31 共1页
| 一、A1型题:每一道考试题下面有A、B、C、D、E五个备选答案。请从中选择一个最佳答案。 |
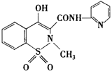
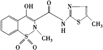
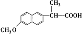
1.具有下列结构的药物是( )![]() |
| 正确答案:E |
|
|
| 2.美洛昔康的化学结构是( ) |
| 正确答案:A |
|
|
| 3.下列哪个为对乙酰氨基酚的结构式( ) |
| 正确答案:E |
|
|
| 4.下列属于环氧合酶-2选择性抑制剂的是( ) |
| 正确答案:D |
|
|
| 5.为1,2-苯并噻嗪类非甾体抗炎药的是( ) |
| 正确答案:D |
|
|
| 二、B型题:以下提供若干组考题,每组考题共用在考题前列出的A、B、C、D、E五个备选答案。请从中选择一个与问题关系最密切的答案。某个备选答案可能被选择一次、多次或不被选择。 |
| (6-10题共用备选答案) |
| A.4-羟基-2-甲基-N-2-吡啶-2H-1,2-苯并噻嗪-3-甲酰胺-1,1-二氧化物 B.α-甲基-4-(2-甲基丙基)苯乙酸 C.1-(4-氯苯甲酰基)-5-甲氧基-2-甲基-1H-吲哚-3-乙酸 D.N-(4-羟基苯基)乙酰胺 E.2-乙酰氧基苯甲酸 |
| 6.阿司匹林化学名为( ) | |
| 7.布洛芬化学名为( ) | |
| 8.吡罗昔康化学名为( ) | |
| 9.吲哚美辛化学名为( ) | |
| 10.对乙酰氨基酚化学名为( ) |
| 正确答案:6.E,7.B,8.A,9.C,10.D |
|
|
| (11-15题共用备选答案) |
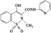
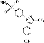
A.![]() B. ![]() C. ![]() D. ![]() E. ![]() |
| 11.萘普生的结构是( ) | |
| 12.双氯芬酸钠的结构是( ) | |
| 13.布洛芬的结构是( ) | |
| 14.吲哚美辛的结构是( ) | |
| 15.吡罗昔康的结构是( ) |
| 正确答案:11.E,12.A,13.B,14.C,15.D |
|
|
| 三、X型题:由一个题干和A、B、C、D、E五个备选答案组成,题干在前,选项在后。要求考生从五个备选答案中选出二个或二个以上的正确答案,多选、少选、错选均不得分。 |
| 16.属于芳基烷酸类非甾体抗炎药的有( ) |
| 正确答案:ACD |
|
|
| 17.下列关于对乙酰氨基酚的说法,正确的是( ) |
| 正确答案:ABCE |
|
|
| 18.下列关于阿司匹林的叙述,正确的是( ) |
| 正确答案:ACDE |
|
|
| 19.可与三氯化铁试液作用生成有色物质的药物有( ) |
| 正确答案:AD |
|
|
| 20.下列关于吲哚美辛性质的叙述,正确的有( ) |
| 正确答案:ABCDE |