发布时间:2012-03-31 共1页
| 一、A1型题:每一道考试题下面有A、B、C、D、E五个备选答案。请从中选择一个最佳答案。 |
| 1.属于半合成的高效镇痛药的是( ) |
| 正确答案:D |
|
|
| 2.盐酸吗啡水溶液易被氧化,是由于结构中含有下列哪种基团( ) |
| 正确答案:C |
|
|
| 3.哌替啶的化学结构是( ) |
| 正确答案:D |
|
|
| 4.哌替啶的化学名是( ) |
| 正确答案:D |
|
|
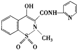
5.具有下列结构的是( )![]() |
| 正确答案:C |
|
|
| 二、B型题:以下提供若干组考题,每组考题共用在考题前列出的A、B、C、D、E五个备选答案。请从中选择一个与问题关系最密切的答案。某个备选答案可能被选择一次、多次或不被选择。 |
| (6-10题共用备选答案) |
| A.生物碱类 B.哌啶类合成镇痛药 C.氨基酮类(芳基丙胺类)合成镇痛药 D.半合成镇痛药 E.内源性多肽 |
| 6.盐酸吗啡属于( ) | |
| 7.美沙酮属于( ) | |
| 8.哌替啶属于( ) | |
| 9.埃托啡属于( ) | |
| 10.脑啡肽属于( ) |
| 正确答案:6.A,7.C,8.B,9.D,10.E |
|
|
| 三、X型题:由一个题干和A、B、C、D、E五个备选答案组成,题干在前,选项在后。要求考生从五个备选答案中选出二个或二个以上的正确答案,多选、少选、错选均不得分。 |
| 11.下列关于盐酸美沙酮的说法,正确的是( ) |
| 正确答案:ABCDE |
|
|
| 12.可以用来鉴别盐酸哌替啶的方法有( ) |
| 正确答案:CDE |
|
|
| 13.关于盐酸吗啡,下列说法正确的是( ) |
| 正确答案:ABDE |
|
|
| 14.能与硫酸及三氯化铁试液反应显色的镇痛药有( ) |
| 正确答案:BE |
|
|
| 15.下列性质与吗啡相符的是( ) |
| 正确答案:ACDE |