发布时间:2012-03-31 共1页
| 一、A1型题:每一道考试题下面有A、B、C、D、E五个备选答案。请从中选择一个最佳答案。 |
| 1.下列关于肾上腺素理化性质的叙述,错误的是( ) |
| 正确答案:D |
|
|
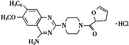
2.具有下列结构的药物是( )![]() |
| 正确答案:B |
|
|
| 3.不能与三氯化铁试液作用显色的药物有( ) |
| 正确答案:B |
|
|
| 4.关于盐酸哌唑嗪的说法,错误的是( ) |
| 正确答案:A |
|
|
| 5.关于盐酸麻黄碱的说法,错误的是( ) |
| 正确答案:D |
|
|
| 二、B型题:以下提供若干组考题,每组考题共用在考题前列出的A、B、C、D、E五个备选答案。请从中选择一个与问题关系最密切的答案。某个备选答案可能被选择一次、多次或不被选择。 |
| (6-9题共用备选答案) |
A.![]() B. ![]() C. ![]() D. ![]() E. ![]() |
| 6.盐酸肾上腺素的结构是( ) | |
| 7.硫酸沙丁胺醇的结构是( ) | |
| 8.盐酸多巴胺的结构是( ) | |
| 9.盐酸麻黄碱的结构是( ) |
| 正确答案:6.C,7.B,8.A,9.D |
|
|
| 三、X型题:由一个题干和A、B、C、D、E五个备选答案组成,题干在前,选项在后。要求考生从五个备选答案中选出二个或二个以上的正确答案,多选、少选、错选均不得分。 |
| 10.下列属于苯乙胺类肾上腺素能受体兴奋剂的药物是( ) |
| 正确答案:ABC |
|
|
| 11.具有酸碱两性的药物有( ) |
| 正确答案:ABC |
|
|
| 12.以下属于盐酸麻黄碱性质的是( ) |
| 正确答案:ABCD |
|
|
| 13.非选择性α受体阻断剂包括( ) |
| 正确答案:AE |
|
|
| 14.结构中含有酚羟基,可与三氯化铁试液作用显色的药物有( ) |
| 正确答案:ABCE |