发布时间:2012-03-31 共1页
| 一、A1型题:每一道考试题下面有A、B、C、D、E五个备选答案。请从中选择一个最佳答案。 |
| 1.属于过敏介质释放抑制剂的药物是( ) |
| 正确答案:E |
|
|
| 2.结构中含硫原子,用小火缓缓加热,产生的硫化氢气体可使湿润的醋酸铅试纸变黑的是( ) |
| 正确答案:E |
|
|
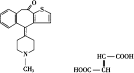
3.具有下列结构的药物是( )![]() |
| 正确答案:B |
|
|
| 4.下列哪一项是赛庚啶的化学结构( ) |
| 正确答案:A |
|
|
5.组胺H 受体拮抗剂在临床上主要用于( ) |
| 正确答案:A |
|
|
| 二、B型题:以下提供若干组考题,每组考题共用在考题前列出的A、B、C、D、E五个备选答案。请从中选择一个与问题关系最密切的答案。某个备选答案可能被选择一次、多次或不被选择。 |
| (6-10题共用备选答案) |
| A.西替利嗪 B.赛庚啶 C.苯海拉明 D.马来酸氯苯那敏 E.阿司咪唑 |
6.属于氨基醚类H 受体拮抗剂的是( ) |
|
7.属于丙胺类H 受体拮抗剂的是( ) |
|
8.属于哌嗪类H 受体拮抗剂的是( ) |
|
9.属于三环类H 受体拮抗剂的是( ) |
|
10.属于无嗜睡作用的H 受体拮抗剂的是( ) |
| 正确答案:6.C,7.D,8.A,9.B,10.E |
|
|
| (11-15题共用备选答案) |
| A.西眯替丁 B.雷尼替丁 C.罗沙替丁 D.法莫替丁 E.依可替丁 |
11.属于咪唑类H 受体拮抗剂的药物是( ) |
|
12.属于呋喃类H 受体拮抗剂的药物是( ) |
|
13.属于哌啶类H 受体拮抗剂的药物是( ) |
|
14.属于吡啶类H 受体拮抗剂的药物是( ) |
|
15.属于噻唑类H 受体拮抗剂的药物是( ) |
| 正确答案:11.A,12.B,13.C,14.E,15.D |
|
|
| 三、X型题:由一个题干和A、B、C、D、E五个备选答案组成,题干在前,选项在后。要求考生从五个备选答案中选出二个或二个以上的正确答案,多选、少选、错选均不得分。 |
| 16.下列哪些为抗溃疡药( ) |
| 正确答案:ABE |
|
|
| 17.关于盐酸西咪替丁的说法,正确的是( ) |
| 正确答案:ABCDE |
|
|
| 18.属于抗过敏药的是( ) |
| 正确答案:ABCD |
|
|
| 19.下列对盐酸苯海拉明的叙述,正确的是( ) |
| 正确答案:ABCDE |