发布时间:2012-03-31 共1页
| 一、A1型题:每一道考试题下面有A、B、C、D、E五个备选答案。请从中选择一个最佳答案。 |
| 1.环磷酰胺的化学结构是( ) |
| 正确答案:D |
|
|
| 2.属于金属抗肿瘤药的是( ) |
| 正确答案:B |
|
|
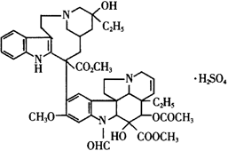
3.具有下列化学结构的药物是( )![]() |
| 正确答案:B |
|
|
| 4.下列关于氟尿嘧啶的叙述,错误的是( ) |
| 正确答案:D |
|
|
| 5.可作为伪代谢物掺入DNA或RNA中,形成无功能的生物大分子,从而使肿瘤细胞死亡的药物是( ) |
| 正确答案:B |
|
|
| 二、B型题:以下提供若干组考题,每组考题共用在考题前列出的A、B、C、D、E五个备选答案。请从中选择一个与问题关系最密切的答案。某个备选答案可能被选择一次、多次或不被选择。 |
| (6-10题共用备选答案) |
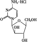
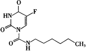
A.![]() B. ![]() C. ![]() D. ![]() E. ![]() |
| 6.白消安的化学结构是( ) | |
| 7.硫酸长春新碱( ) | |
| 8.甲氨蝶呤( ) | |
| 9.卡莫司汀( ) | |
| 10.顺铂( ) |
| 正确答案:6.A,7.E,8.C,9.D,10.B |
|
|
| (11-15题共用备选答案) |
| A.环磷酰胺 B.硫酸长春新碱 C.氟尿嘧啶 D.巯嘌呤 E.顺铂 |
| 11.属于氮芥类烷化剂的是( ) | |
| 12.属于嘧啶拮抗物的抗代谢药物( ) | |
| 13.属于金属抗肿瘤药的是( ) | |
| 14.属于天然抗肿瘤药的是( ) | |
| 15.属于嘌呤拮抗物的是( ) |
| 正确答案:11.A,12.C,13.E,14.B,15.D |
|
|
| 三、X型题:由一个题干和A、B、C、D、E五个备选答案组成,题干在前,选项在后。要求考生从五个备选答案中选出二个或二个以上的正确答案,多选、少选、错选均不得分。 |
| 16.属于嘧啶拮抗物类抗代谢抗肿瘤药物的是( ) |
| 正确答案:ABE |
|
|
| 17.属于抗代谢抗癌药的药物有( ) |
| 正确答案:ABCD |
|
|
| 18.能以共价键与DNA、RNA和某些酶分子结合,使肿瘤细胞受到毒害而死亡的药物有( ) |
| 正确答案:ABCDE |
|
|
| 19.属于天然抗肿瘤药的有( ) |
| 正确答案:ABCE |