发布时间:2012-03-31 共1页
| 一、A1型题:每一道考试题下面有A、B、C、D、E五个备选答案。请从中选择一个最佳答案。 |
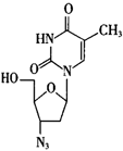
1.具有下列结构的药物是( )![]() |
| 正确答案:B |
|
|
| 2.属于逆转录酶抑制剂抗艾滋病药物的是( ) |
| 正确答案:E |
|
|
| 3.属于三环胺类抗病毒药的是( ) |
| 正确答案:B |
|
|
| 4.对RNA和疱疹病毒等有抑制作用,也可抑制HIV患者的艾滋病前期症状的药物是( ) |
| 正确答案:C |
|
|
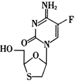
| 5.阿昔洛韦的化学结构是( ) |
| 正确答案:D |
|
|
| 二、B型题:以下提供若干组考题,每组考题共用在考题前列出的A、B、C、D、E五个备选答案。请从中选择一个与问题关系最密切的答案。某个备选答案可能被选择一次、多次或不被选择。 |
| (6-10题共用备选答案) |
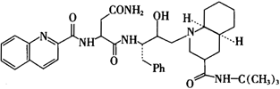
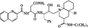
A.![]() B. ![]() C. ![]() D. ![]() E. ![]() |
| 6.拉米夫定的化学结构是( ) | |
| 7.沙奎那韦的化学结构是( ) | |
| 8.更昔洛韦的化学结构是( ) | |
| 9.利巴韦林的化学结构是( ) | |
| 10.齐多夫定的化学结构是( ) |
| 正确答案:6.A,7.C,8.B,9.D,10.E |
|
|
| 三、X型题:由一个题干和A、B、C、D、E五个备选答案组成,题干在前,选项在后。要求考生从五个备选答案中选出二个或二个以上的正确答案,多选、少选、错选均不得分。 |
| 11.下列属于抗艾滋病药物的是( ) |
| 正确答案:ABC |
|
|
| 12.下列属于抗病毒药物的是( ) |
| 正确答案:ABCD |