发布时间:2012-03-31 共1页
| 一、A1型题:每一道考试题下面有A、B、C、D、E五个备选答案。请从中选择一个最佳答案。 |
| 1.关于β-内酰胺类抗生素结构特点的叙述,错误的是( ) |
| 正确答案:E |
|
|
| 2.关于头孢菌素的结构特点的说法,错误的是( ) |
| 正确答案:B |
|
|
| 3.属于多肽类抗生素的是( ) |
| 正确答案:D |
|
|
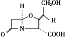
4.具有下列化学结构的药物是( )![]() |
| 正确答案:E |
|
|
| 5.属于单环β-内酰胺类的药物是( ) |
| 正确答案:C |
|
|
| 二、B型题:以下提供若干组考题,每组考题共用在考题前列出的A、B、C、D、E五个备选答案。请从中选择一个与问题关系最密切的答案。某个备选答案可能被选择一次、多次或不被选择。 |
| (6-10题共用备选答案) |
| A.多西环素 B.交沙霉素 C.琥珀氯霉素 D.庆大霉素 E.苯唑西林钠 |
| 6.属于四环素类抗生素的是( ) | |
| 7.属于β-内酰胺类抗生素的是( ) | |
| 8.属于氨基糖苷类抗生素( ) | |
| 9.属于大环内酯类抗生素的是( ) | |
| 10.属于氯霉素类抗生素的是( ) |
| 正确答案:6.A,7.E,8.D,9.B,10.C |
|
|
| (11-15题共用备选答案) |
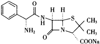
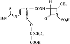
A.![]() B. ![]() C. ![]() D. ![]() E. ![]() |
| 11.氨苄西林钠( ) | |
| 12.舒巴坦( ) | |
| 13.氨曲南( ) | |
| 14.头孢哌酮( ) | |
| 15.克拉维酸( ) |
| 正确答案:11.A,12.B,13.E,14.C,15.D |
|
|
| 三、X型题:由一个题干和A、B、C、D、E五个备选答案组成,题干在前,选项在后。要求考生从五个备选答案中选出二个或二个以上的正确答案,多选、少选、错选均不得分。 |
| 16.下列药物中,属于β-内酰胺酶抑制剂的是( ) |
| 正确答案:AE |
|
|
| 17.β-内酰胺类药物包括( ) |
| 正确答案:ABCDE |
|
|
18.在青霉素酰胺基α位上引入极性亲水性基团-NH 、-COOH、-SO H等基团,可( ) |
| 正确答案:ABCDE |
|
|
| 19.属于四环素类药物化学性质的是( ) |
| 正确答案:ABCDE |
|
|
| 20.关于β-内酰胺类抗生素结构特点的叙述,正确的是( ) |
| 正确答案:ABCE |