发布时间:2012-03-31 共1页
| 一、A1型题:每一道考试题下面有A、B、C、D、E五个备选答案。请从中选择一个最佳答案。 |
| 1.用于非胰岛素依赖型糖尿病,肥胖患者可作为首选药的是( ) |
| 正确答案:E |
|
|
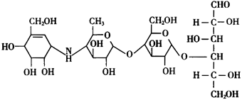
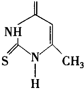
2.具有下列结构的药物是( )![]() |
| 正确答案:A |
|
|
| 3.属于α-葡萄糖苷酶抑制剂降糖药的是( ) |
| 正确答案:A |
|
|
| 4.4-甲基-N-[(丁氨基)羰基]苯磺酰胺是( ) |
| 正确答案:D |
|
|
| 5.大剂量碘化钠常用作( ) |
| 正确答案:B |
|
|
| 二、B型题:以下提供若干组考题,每组考题共用在考题前列出的A、B、C、D、E五个备选答案。请从中选择一个与问题关系最密切的答案。某个备选答案可能被选择一次、多次或不被选择。 |
| (6-10题共用备选答案) |
A.![]() B. ![]() C. ![]() D. ![]() E. ![]() |
| 6.盐酸二甲双胍的化学结构是( ) | |
| 7.卡比马唑的化学结构是( ) | |
| 8.甲硫氧嘧啶的化学结构是( ) | |
| 9.阿卡波糖的化学结构是( ) | |
| 10.甲苯磺丁脲的化学结构是( ) |
| 正确答案:6.B,7.A,8.C,9.D,10.E |
|
|
| 三、X型题:由一个题干和A、B、C、D、E五个备选答案组成,题干在前,选项在后。要求考生从五个备选答案中选出二个或二个以上的正确答案,多选、少选、错选均不得分。 |
| 11.属于硫脲类抗甲状腺激素药物的是( ) |
| 正确答案:ABCE |
|
|
| 12.属于磺酰脲类降糖药物的有( ) |
| 正确答案:ABC |
|
|
| 13.可用于甲状腺功能亢进症的药物有( ) |
| 正确答案:ABD |
|
|
| 14.用于非胰岛素依赖型糖尿病的口服降糖药物有( ) |
| 正确答案:ABCDE |