发布时间:2012-03-31 共1页
| 一、A1型题:每一道考试题下面有A、B、C、D、E五个备选答案。请从中选择一个最佳答案。 |
| 1.维生素C具有很强的还原性,这是因为分子中具有( ) |
| 正确答案:C |
|
|
| 2.可使2,6-二氯靛酚试液红色消失的是( ) |
| 正确答案:D |
|
|
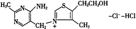
| 3.氯化4-甲基-3-[(2-甲基-4-氨基-5-嘧啶基)甲基]-5-(2-羟基乙基)噻唑盐酸盐是( ) |
| 正确答案:E |
|
|
| 4.可阻止体内亚硝胺的合成,有预防早期癌变作用的维生素A代谢产物是( ) |
| 正确答案:B |
|
|
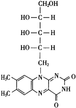
5.具有下列结构的药物是( )![]() |
| 正确答案:E |
|
|
| 二、B型题:以下提供若干组考题,每组考题共用在考题前列出的A、B、C、D、E五个备选答案。请从中选择一个与问题关系最密切的答案。某个备选答案可能被选择一次、多次或不被选择。 |
| (6-10题共用备选答案) |
| A.维生素E B.维生素K ![]() C.维生素B ![]() D.维生素A E.维生素B ![]() |
6.具有 结构的药物是( ) |
|
7.具有 结构的药物是( ) |
|
8.具有 结构的药物是( ) |
|
9.具有 结构的药物是( ) |
|
10.具有 结构的药物是( ) |
| 正确答案:6.D,7.C,8.E,9.A,10.B |
|
|
| (11-15题共用备选答案) |
A.维生素B![]() B.维生素C C.维生素A D.维生素B ![]() E.维生素D |
| 11.可防治唇炎、舌炎、结膜炎和脂溢性皮炎等的药物是( ) | |
| 12.主要用于防治佝偻病或软骨病的是( ) | |
| 13.用于防治坏血病,作为水溶液制剂的抗氧剂的是( ) | |
| 14.可用于夜盲症、角膜软化等症治疗的药物是( ) | |
| 15.用于防治异烟肼中毒,妊娠、放射病及抗癌药所致的呕吐的是( ) |
| 正确答案:11.A,12.E,13.B,14.C,15.D |
|
|
| 三、X型题:由一个题干和A、B、C、D、E五个备选答案组成,题干在前,选项在后。要求考生从五个备选答案中选出二个或二个以上的正确答案,多选、少选、错选均不得分。 |
| 16.关于维生素A构效关系的说法,正确的是( ) |
| 正确答案:ABCDE |
|
|
| 17.属于脂溶性维生素的是( ) |
| 正确答案:ADE |
|
|
18.关于维生素B 的叙述,正确的是( ) |
| 正确答案:ACDE |
|
|
| 19.下列关于维生素E的说法,正确的是( ) |
| 正确答案:ABCDE |
|
|
| 20.属于2-甲基-1,4-萘醌类衍生物的维生素药物是( ) |
| 正确答案:ABE |