一级建造师模拟试题:公路工程施工现场劳动力管理

发布时间:2012-07-25 共1页

公路工程施工现场劳动力管理
一、单项选择题
1.公路桥梁施工中,必须投入施工现场的劳动力是(    )。



 
正确答案:D
 
2.公路路面施工劳动力配置不应包含的工种是(    )。



 
正确答案:D
 
3.项目组织机构设置中的“管理跨度”原则是指(    )。



 
正确答案:B
 
二、多项选择题
4.施工项目劳动力配置时应遵循的原则有(    )。




 
正确答案:BCD
 
5.在混合工作队式的施工组织形式时,其特点有(    )。




 
正确答案:ABC
 
6.施工人员管理要素有(    )。




 
正确答案:ACDE
 
7.投入施工现场的劳动力由(    )组成。




 
正确答案:ABDE
 
8.在所有的工程中必须配置的工人有(    )。




 
正确答案:AD
 
三、案例分析题
9.【案例1】
1.背景材料:
某水泥混凝土路面工程,其工程量为50000m,分散拌合,手推车运送混凝土,路面厚度20cm。水泥混凝土路面施工预算定额(部分)如下表:2-28水泥混凝土路面工程内容:1)模板制作、安装、拆除、修理、涂脱模剂;2)传力杆及补强钢筋制作安装;3)混凝土配运料、拌合、运输、浇筑、捣固、真空吸水、抹平、压纹、养生;4)切缝、灌注沥青胀缩绛。

2.问题:(1)试计算该工程的劳动量。
(2)当工期要求为150d时,所需的劳动力数量是多少?
 
正确答案:
【案例1】
参考答案:
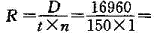
(1)根据给出的定额表可知人工定额为339.2工日/1000m整个项目劳动力数量:
D=Q×S=50000÷1000×339.2=16960工日
(2)所需劳动力数量:
R=113.1人取R=114人。

百分百考试网 考试宝典

立即免费试用