发布时间:2012-07-25 共1页
| 一、案例分析题 |
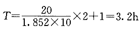
1.某项目工程量400万m ,运距20km,采用5000m 。舱容耙吸挖泥船施工,平均航速10节,每舱挖泥时间1h,平均装舱量3000m /舱,平均时间利用率85%,修船占用时间为施工时间的10%。问题: (1)计算挖泥循环周期时间。 (2)计算挖泥船生产率。 (3)试预测该项目的施工工期。 |
| 正确答案: (1)计算挖泥循环周期时间: ![]() (2)计算挖泥船生产率: ![]() (3)计算施工工期。 施工小时 ![]() 施工天 ![]() 施工工期为209+209×10%=230d。 |
|
|
| 二、A3型题 |
| (2-6题共用题干) |
按下图回答问题。![]() |
| 2.此波属于( )。 |
| 3.波高为( )。 |
| 4.波长为( )。 |
| 5.波陡为( )。 |
| 6.已知波浪传播的速度为2.0m/s,波浪的周期为( )。 |
| 正确答案:2.A;3.B;4.C;5.B;6.B |
|
|
| (7-9题共用题干) |
如下图中图(a)所示,坞墙与底板混凝土分两次浇筑,问歇期14d,测点1、测点2的温升曲线如图(b)所示。![]() 问题: |
| 7.在新浇坞墙混凝土②浇筑后的8d内,坞墙混凝土②( )。 |
| 8.坞墙混凝土②浇筑8d以后,该坞墙混凝土②( )。 |
| 9.为防止新浇坞墙混凝土②开裂,在浇筑后的8d内应( )。 |
| 正确答案:7.B;8.C;9.B |