发布时间:2015-01-14 共1页
单项选择题
1.B
【解析】每年计息周期m越多,ieff与r相差越大。
2.D
【解析】折旧费属于固定成本。
3.A
【解析】设备租赁一般有融资租赁和经营租赁两种,在融资租赁中,租赁双方承担确定时期的租让和付费义务,而不得任意中止和取消租约;而在经营租赁中,租赁双方的任何一方可以随时以一定方式在通知对方后的规定期限内取消或中止租约。
4.C
【解析】FNPV(i)是i的递减函数,基准收益率越小,财务净现值越大。
5.C
【解析】如果两个现金流量等值,则对任何时刻的价值必然相等。
6. B
7.C
【解析】对于非经营性方案,经济效果评价应主要分析拟定技术方案的财务生存能力。
8.D
【解析】投资收益率和财务净现值都是反映盈利能力的指标,投资收益率是静态指标,财务净现值是动态指标。
9.C
【解析】投资、经营成本、营业收入和税金是构成技术方案现金流量的基本要素。
10.B
【解析】汇兑损失是财务费用,属于期间费用,不归入营业成本。
11.C
【解析】一般来说,资产负债率为50%比较合适,有利于风险与收益的平衡。
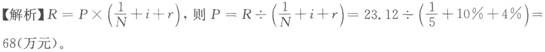
12.C
【解析】先计算累计净现金流量,如表1所示。
表1 累计净现金流量表

13.A
14.D
【解析】价值工程中所述的“价值”不是对象的使用价值,也不是对象的交换价值,而是对象的比较价值。
15.B
【解析】资本金现金流量表中的现金流出包括资本金,不包括建设投资中的银行贷款部分。16.C
【解析】贵重的设备(如重型机械设备等)宜采用融资租赁;临时使用的设备(如车辆、仪器等)通常采用经营租赁。
17.A
【解析】见图1Z101051,修理是有形磨损的局部补偿方式。
18. B
【解析】计算各年年平均使用成本如表2所示,可知第4年的580元为最低,故该设备的经济寿命为4年。
表2 年平均使用成本数据表 元

19.B

20.D
【解析】承租人无权随意对设备进行改造。