2012年岩土工程师考试基础知识模拟试题:高等数学(单项选择题3)

发布时间:2012-07-25 共1页

高等数学(单项选择题3)
一、单项题的备选项中只有一个最符合题意,错选、多选均不得分。
1.函数f(x)=(x+1)/x在[1,2]上符合拉格朗日定理条件的ζ值为:



 
正确答案:A 解题思路:提示:验证函数满足拉格朗日定理的条件,利用它的结论求出ζ值。f(x)在[1,2]上连续,在(1,2)可导。利用拉格朗日中值定理,f(2)-f(1)=f′(ζ)(2-1),求出ζ=
 
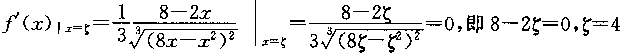
2.在区间[0,8]上,对函数而言,下列中哪个结论是正确的?



 
正确答案:C 解题思路:提示:验证函数是否满足罗尔定理的条件,利用罗尔定理结论求出ζ值如下:f(x)在[0,8]上连续,在(0,8)内可导,且f(0)=f(8)=0,利用罗尔定理,在(0,8)之间至少存在一点使
 
3.令x=2cost,则等于:



 
正确答案:D 解题思路:提示:通过计算检验
设x=2cost,dx=-2sintdt
当x=2时,t=0;当x=-2时,t=π

=16sint·costdt
 
4.当x→0时,x+sinx是x的:



 
正确答案:D 解题思路:提示:通过求极限的结果来确定,
 
5.设曲线的方程为y=sinx/x+arctan(1-),则有下列哪项结果?



 
正确答案:B 解题思路:提示:通过求极限来确定,f(x)=A,y=A为一条水平渐近线;如,x=x为一条垂直渐近线。本题。有一条水平渐近线。

百分百考试网 考试宝典

立即免费试用