2012年岩土工程师考试模拟试题:浅基础(案例分析题22)

发布时间:2012-07-25 共1页

浅基础(案例分析题22)
一、案例分析
(1-3题共用题干)
某一饱和黏土地基,黏土层厚10m,渗透系数k=1.6cm/年,受大面积荷载p=100kPa。
1.如果该黏土层初始孔隙比e=0.9,压缩系数a=1.25MPa。,则该黏土层在p作用下,最终(固结)沉降量最接近(   )。



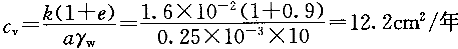
2.该黏土层的竖向固结系数,最接近的数值是(   )。



3.考虑该黏土层双面排水的情况,如果在某一大面积荷载作用下,最终固结沉降量计算出来为200mrn,而加载一年时该土层的平均固结度为75%,则一年时该黏土层的沉降量最接近(   )。



 
正确答案:1.A;2.D;3.C 解题思路:该题是考核固结度以及固结计算概念的一道题目。
58.计算公式:
59.计算过程:
60.

百分百考试网 考试宝典

立即免费试用