2012年岩土工程师考试模拟试题:深基础(案例分析题2)

发布时间:2012-07-25 共1页

深基础(案例分析题2)
一、案例分析
(1-9题共用题干)
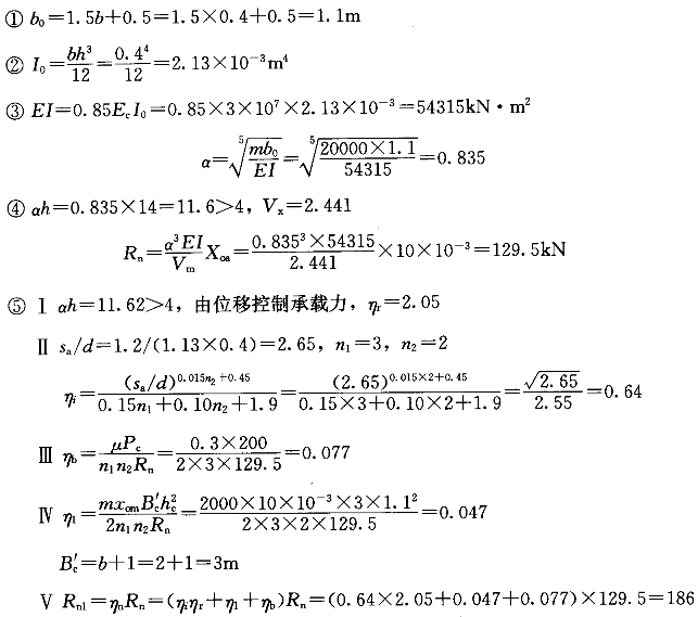
某工程桩基础采用预制桩,截面尺寸为0.4m×0.4m,桩的入土深度14.0m,采用C30混凝土(Ec=3.0×107kN/㎡),桩周2.8m范围内地基土为黏土,其水平抗力糸数的比例系数m=20MN/m4。桩身主筋8φ20,单桩的允许水平位移取10mm。桩基承台高1.1m,承台埋深1.5m。承台底面以上为密实粉土(μ=0.3,Pc=200kN),桩的布置情况见图3-7。
1.桩身计算宽度bo=(   )m



2.桩身截面惯性矩Io=(   )m



3.桩的水平变形系数α=(   )



4.单桩水平承载力设计值:Rn=(   )kN



5.复合基桩水平承载力设计值:I桩顶的约束效应系数ηr=(   )



6.复合基桩水平承载力设计值:Ⅱ桩之间相互影响系数ηi=(   )



7.复合基桩水平承载力设计值:Ⅲ承台底摩阻效应系数ηb=(   )



8.复合基桩水平承载力设计值:Ⅳ承台侧向土抗力系数η1=(   )



9.复合基桩水平承载力设计值:V复合基桩的水平承载力设计值Rn1=(   )kN



 
正确答案:1.C;2.A;3.B;4.B;5.D;6.C;7.B;8.C;9.A 解题思路:

百分百考试网 考试宝典

立即免费试用