发布时间:2012-07-25 共1页
| 一、案例分析 |
| (1-4题共用题干) |
某建筑场地地基主要受力层为粉细砂层,地基承载力特征值厂f =110kPa,压缩模量E =5.6MPa。拟采用加填料的振冲法进行地基处理;振冲桩体地基承载力特征值f =510kPa,桩体平均直径d=750mm,桩间距2m等边三角形布置,桩土应力比n=2.5。 |
| 1.初步设计振冲桩处理后的复合地基承载力特征值为( )。 |
| 2.经处理后的复合地基进行变形验算时复合土层的压缩模量可以采用( )。 |
| 3.如采用55kW振冲器布桩,合理的桩间距应该是( )。 |
4.如果要求处理后的复合地基的承载力特征值f =180kPa,那么较合适的复合地基桩土面积置换率是( )。 |
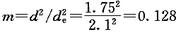
| 正确答案:1.A;2.D;3.B;4.C 解题思路:该题考核振冲法处理软土地基的复合地基承载力特征值的确定、计算地基变形时复合土层变形模量的计算以及振冲桩间距的确定。 1.根据《建筑地基处理技术规范》(JGJ79-2002)7.2.8条,初步设计时可以利用下述公式估算复合地基承载力特征值: ![]() 根据已知条件有: ![]() d =1.05s=1.05×2=2.1m![]() ![]() =0.128×510+(1-0.128)×110 =161.2kPa 故,选A 2.根据《建筑地基处理技术规范》(JGJ79-2002)7.2.9条,振冲处理的地基变形计算时,复合土层的压缩模量可以按下式进行计算: ![]() 将已知条件代入: ![]() =[1+0.128×(2.5-1)]×5.6 =6.7Mpa 故,选D。 3.根据《建筑地基处理技术规范》给出的,初步设计估算复合地基承载力特征值的公式: ![]() 进行变换: ![]() 根据规范,这里取:f =f![]() 所以有: ![]() 故,选C。 |