土工结构、边坡与支挡结构、基坑与地下工程(案例分析题2)

发布时间:2012-07-25 共1页

土工结构、边坡与支挡结构、基坑与地下工程(案例分析题2)
一、案例分析
(1-4题共用题干)
某一基坑开挖深度8m,围护墙采用600mm厚的钢筋混凝土地下连续墙,墙体深度为18m,支撑为一道φ500×11的钢管支撑,支撑平面间距为3m,支撑轴线位于地面以下2m。地质条件为:地层为黏性土,土的天然重度γ=18kN/m,内摩擦角ψ=10°,c=10kPa。地下水位在地面以下1m,不考虑地面荷载。若用朗肯土压力理论(水土合算)和静力平衡法进行计算,则:
1.主动土压力为(   )。



2.被动土压力为(   )。



3.单根支撑的轴力为(   )。



4.地下连续墙的最大弯矩为(   )。



 
正确答案:1.B;2.B;3.A;4.C 解题思路:如下图所示:

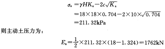
(1)主动土压力计算:主动土压力系数为:

墙底面处的主动土压力强度为:

因此答案为B。
(2)被动土压力计算:

因此答案为B。
(3)计算单根支撑的轴力(静力平衡法):支护结构在水平方向所受的合力为0,ΣFx=0,设N为每一根支撑的轴力,因为每一根支撑要承担3m宽的地下连续墙的土压力,则:N+3Ep=3EaN=3(Ea-Ep)=3×(1762.2-1516)=738.6kN因此答案为A。
(4)计算地下连续墙的最大弯矩(图5-15)

根据剪力和弯矩的关系,弯矩的极值出现在剪力为0的位置。设地下连续墙上的A点处的弯矩为0,A点在基坑底面以上y处。每米地下连续墙上由支撑提供的支撑力为:N1=N/3=738.6/3=246.2kN
由水平方向合力为0的条件,得:Q=N1-Eay其中,Q为A点的剪力,Eay为A点以上主动土压力的合力。则:

令上式等于0,可以解出y=0.42m。则最大弯矩为:

因此答案为C。

百分百考试网 考试宝典

立即免费试用