2012年岩土工程师考试基础知识考前冲刺(一)(单项选择题1)

发布时间:2014-02-25 共1页

考前冲刺(一)(单项选择题1)
一、单项题的备选项中只有一个最符合题意,错选、多选均不得分。
1.机械波波动方程为y=0.03cos6π(t+0.01x)(SI),则(   )。



 
正确答案:B
 
2.十进制数(110)转换为十六进制数,正确的是(   )。



 
正确答案:D
 
3.一钢制圆轴如图所示,圆轴直径d=10cm,载荷P=4.2kN,M=1.5kN·m,材料的许用应力[σ]=80MPa,按第三强度理论校核的结果是(   )。



 
正确答案:C
 
4.设f(1-xz)=(1+x)/(2x-1),则f(x)等于(   )。



 
正确答案:D
 
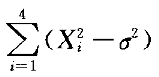
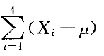
5.设X~N(μ,σ),μ已知,σ未知,X、X、X、X是X的样本,则不是统计量的是(   )。



 
正确答案:D

百分百考试网 考试宝典

立即免费试用