发布时间:2014-02-25 共1页
| 一、案例分析 |
1.已知某建筑场地的钻孔资料如下表:![]() 该场地类别是( )。 |
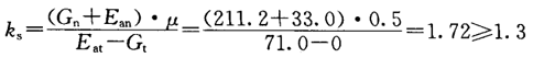
正确答案:B 解题思路:因为地表下9.00m以下剪切波速υs=500m/s,故计算土层厚度取d0=5.20m剪切波在地面与计算深度之间的传播时间:![]() 查《建筑抗震设计规范》(GB50011-2001)知道:该场地属于Ⅱ类场地。 |
|
|
| 二、案例分析 |
| (2-5题共用题干) |
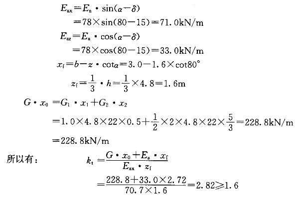
如图所示重力式挡土墙,墙高5m,墙体砌体重度γk=22kN/m ;墙背与竖直面的夹角ε=10°,填土面的倾角β=10°,填土与墙体的摩擦角δ=15°;填土为均质无黏性土:ψ=30°,γ=18kN/m 。设计该挡土墙。![]() |
| 2.根据《建筑地基基础设计规范》(GB50007-2002)作用在挡土墙的上的主动土压力最接近下列( )。 |
| 3.如果作用在挡土墙的上的主动土压力E=78kN/m,则挡土墙的抗滑移稳定性( )。 |
| 4.如果作用在挡土墙的上的主动土压力Ea=78kN/m,则挡土墙的抗倾覆稳定性( )。 |
| 5.如果填土与墙体的摩擦角减小,则作用于挡土墙上的主动土压力( )。 |
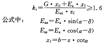
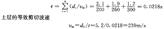
| 正确答案:2.D;3.A;4.C;5.B 解题思路:该题是重力式挡土墙设计的一道题目。 1. ![]() 2.根据《建筑地基基础设计规范》挡土墙的抗滑移稳定性的公式: ![]() 将挡土墙截面分成两部分(矩形G1和三角形G2),则有:Gn=G1+G2将已知条件代入: ![]() 所以有: ![]() 3.根据《建筑地基基础设计规范》挡土墙的抗倾覆稳定性的公式: ![]() 将挡土墙截面分成两部分(矩形G,和三角形G2),则有:G0=G1+G2将已知条件代入: ![]() |