发布时间:2014-02-25 共1页
| 一、单项题的备选项中只有一个最符合题意,错选、多选均不得分。 |
1.某基岩取样进行饱和单轴抗压强度试验, =4000kPa,岩体完整,该基岩的地基承载力特征值f 是( )。 |
| 正确答案:A |
|
|
| 2.下列最新的地质年代是( )。 |
| 正确答案:D |
|
|
| 3.当土体处于悬浮临界状态时,渗透力为( )。 |
| 正确答案:A |
|
|
4.某原状土样做三轴压缩试验,当施加的周围固结压力σ 小于该土样曾受到的最大固结压力P 时,该土样的状态处于( )。 |
| 正确答案:C |
|
|
5.某岩体实测纵波波速υ =4500m/s,岩块纵波波速υ =5000m/s,该岩体属于( )。 |
| 正确答案:A |
|
|
| 二、多项选择题的备选项中有两个或两个以上的正确答案,错选、少选、多选均不得分。 |
| 6.根据钻探过程中破碎孔底岩土的方式不同,钻探方法可分为回转类钻探、冲击类钻探、振动钻探和冲洗钻探。下列( )属于回转类钻探。 |
| 正确答案:BCD |
|
|
| 7.在岩土工程勘察中,下列( )情况可采用地球物理勘探。 |
| 正确答案:ACD |
|
|
| 8.下列( )不属于岩石的力学性质试验的范畴。 |
| 正确答案:DE |
|
|
| 9.根据《地基基础设计规范))(GB50007-2002),下列情况中( )不需验算沉降。 |
| 正确答案:BD |
|
|
| 10.根据规范规定,设计等级为甲、乙级的建筑物,均应按地基变形设计;丙级建筑物的( )情况不需变形验算。 |
| 正确答案:BCD |
|
|
| 三、案例分析 |
11.已知某建筑场地的钻孔资料如下表:![]() 该场地类别是( )。 |
正确答案:B 解题思路:解答:因为地表下9.00m以下剪切波速v =500m/s,故计算土层厚度取d =5.20m剪切波在地面与计算深度之间的传播时间:![]() 土层的等效剪切波速 ![]() 查《建筑抗震设计规范》(GB50011-2001)可知:该场地属于Ⅱ类场地。 |
|
|
| 四、案例分析 |
| (12-15题共用题干) |
如图所示重力式挡土墙,墙高5m,墙体砌体重度γ =22kN/m ;墙背与竖直面的夹角ε=10°,填土面的倾角β=10°,填土与墙体的摩擦角δ=15°;填土为均质无黏性土:φ=30°,γ=18kN/m 。设计该挡土墙。![]() |
| 12.根据《建筑地基基础设计规范》((~B50007-2002)作用在挡土墙上的主动土压力最接近( )。 |
13.如果作用在挡土墙上的主动土压力E =78kN/m,则挡土墙的抗滑移稳定性( )。 |
14.如果作用在挡土墙上的主动土压力E =78kN/m,则挡土墙的抗倾覆稳定性( )。 |
| 15.如果填土与墙体的摩擦角减小,则作用于挡土墙上的主动土压力( )。 |
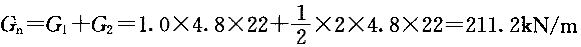
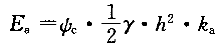
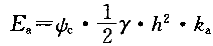
| 正确答案:12.D;13.A;14.C;15.B 解题思路:该题是重力式挡土墙设计的一道题目。 1. ![]() 已知墙背与竖直面的夹角ε=10°,填土面的倾角β=10°,填土与墙体的摩擦角 ;根据《建筑地基基础设计规范》附录L,查得主动土压力系数k =0.42,代入计算公式:![]() 这里,ψ 取1.0:![]() ![]() =87.1kN/m 2.根据《建筑地基基础设计规范》,挡土墙的抗滑移稳定性的公式: ![]() 公式中: ![]() ![]() 将挡土墙截面分成两部分(矩形G 和三角形G ),则有:![]() 将已知条件代入: ![]() ![]() ![]() =78×cos(80-15) =33.0kN/m ![]() 所以有: ![]() 3.根据《建筑地基基础设计规范》,挡土墙的抗倾覆稳定性的公式: ![]() 公式中: ![]() ![]() ![]() 将挡土墙截面分成两部分(矩形G1和三角形G2),则有 ![]() 将已知条件代入: ![]() =78×sin(80-15)=71.0kN/m ![]() =78×cos(80-15)=33.0kN/m ![]() ![]() ![]() ![]() =228.8kN/m 所以有: ![]() ![]() 4.如果填土与墙体的摩擦角减小,作用于挡土墙上的主动土压力是增大的。 |