发布时间:2012-07-25 共1页
| 一、案例分析题: |
| 1.某国有企业甲获准于1995年12月31日在所使用的国有划拨土地上建成一综合大楼,总建筑面积为13200m2,建筑容积率为2.4。该大楼一至二层为商场,商场建筑面积为4300m2,两层建筑面积相同;三至四层为办公楼,建筑面积为3800m2,两层建筑面积相同;四层以上为住宅,已按政策分配给企业职工,进行了房改。请根据以下条件回答问题。 1.企业甲为完善土地产权,于2002年12月31日拟对该划拨土地使用权办理国有土地使用证,试问应按何程序办理?在办理土地登记手续时,企业甲拟申请按综合用途对全部土地进行登记,试问是否合理?简述理由。 2.该企业一职工冯某分到六层一套三室一厅单元住房,建筑面积为88m2,房改时按成本价交纳了购房费用,2003年12月31日冯某将其住房上市出售给张某,对所涉及土地应办理哪些手续?如张某申请对该土地进行登记,应如何确定有关登记的主要内容? 3.企业甲为融资需要,于2003年12月31日准备以该大楼的第三层到银行乙进行抵押贷款,并委托土地估价机构A对所涉及的土地进行价格评估。试问: (1)土地估价机构A接受委托后,应首先明确哪些基本事项? (2)为做好土地估价工作,该土地估价机构准备制定估价作业计划,试问该计划应包括哪些主要内容? (3)现场踏勘时,应主要勘察哪些内容? (4)进行估价时,如何界定地价内涵?可选择怎样的估价原则和方法,如何确定最终价格? 4.土地估价机构A选用了市场比较法和剩余法两种方法进行估价,市场比较法评估结果为3800元/m2(建筑面积),剩余法评估结果为3100元/m2(建筑面积),银行乙经综合分析,决定贷款500万元,要求估价机构的评估值最好能达到760万元。试问: (1)估价机构A应如何处理? (2)为保证贷款能按时回收,银行乙要求将企业甲的国有土地使用证原件存放于乙处,试问该要求能否达到目的?简述理由;按规定银行乙在贷款时应要求办理哪些手续? |
| 正确答案: 1.答题要点 应按以下程序办理土地登记手续。 (1)土地登记申请。 (2)地籍调查。 (3)权属审核。 (4)注册登记。 (5)核发证书。 如企业甲按综合用途申请登记,则不合理,主要理由如下。 (1)根据土地分类的要求,没有综合用途,应分用途申请登记。 (2)由于住宅部分已分配给职工,产权归职工所有,企业办理登记时,对住宅部分不能由企业办理土地登记手续。 2.答题要点 (1)对所涉及土地应办理如下手续。 ①依法办理土地登记手续。 ②应依法交纳土地出让金。 (2)对该土地进行登记时,有关登记的主要内容应如下。 ①土地权利主体。 土地使用者为张某。 ②土地权利客体。 a.土地面积。 总土地面积为:13200/2.4=5500(m2)。 按建筑面积分摊应为:88/13200×5500=36.67(m2)。 b.土地用途:住宅。 ③土地权利来源。 a.权属性质:国有出让。 b.土地使用年限:法定最高年限70年。 3.答题要点 (1)土地估价机构接受委托后,应首先明确以下事项。 ①评估目的。 ②评估基准日。 ③评估对象(包括位置、面积、权利状况等)。 ④其他基本事项(包括有关批文、规划条件证明等)。 (2)估价作业计划应包括以下内容。 ①人员安排。 ②时间安排。 ③主要工作内容。 ④工作程序。 ⑤需要注意的其他事项。 (3)应现场勘察以下内容。 ①估价对象的基本情况,包括位置、用途、地号、面积等是否与登记文件一致,是否存在权利纠纷等。 ②地上建筑物的情况,包括建筑物的建筑面积、层数、建筑结构、建筑物的用途、容积率、内部装修情况等内容。 ③周边区域条件和个别条件,包括周边繁华程度、交通条件、基础设施条件、环境条件、产业集聚状况等区域因素,以及宗地形状、临街条件、深度、至商服中心的距离、至火车站(机场)等主要交通设施的距离、至主要生活设施的距离等。 (4)界定地价内涵。 ①用途:根据土地用途分类,商务办公楼应设定为商业用途。 ②土地使用年限:按法定最高年限40年。 ③土地开发程度:应按宗地外的土地开发程度予以设定。 ④估价期日:2003年12月31日。 ⑤土地权利:法定年期的出让土地使用权价格。 (5)选择合适的估价原则和方法。 ①可根据估价对象的特性和地价内涵,选择以下估价原则。 a.最有效使用原则。 b.预期收益原则。 c.替代原则。 d.贡献原则等。 ②可选择以下方法。 a.市场比较法。 b.收益还原法。 c.基准地价系数修正法。 d.剩余法。 e.路线价估价法。 至少应选择两种以上的方法。 ③确定估价结果的方法。 a.简单算术平均。 B.加权平均。 C.取一种方法结果。 D.以一种方法结果为主,参考另一种方法结果进行适当修正。 4.答题要点 (1)估价机构处理办法。 ①根据题意,银行要求的估价结果为760万元,即为760/1900=4000(元/m2)。 ②经对市场比较法和剩余法进行分析,两种方法中最高结果为3800元/m2,且市场比较法结果能够反映市场状况。所以,从估价结果来看,不能调整估价结果。 ③如要满足银行的要求,估价机构可以建议增加抵押物的建筑面积。 (2)该要求不能达到目的,理由如下。 国有土地使用证是证明土地产权的唯一合法证明,即使银行将国有土地使用证存放于自己处,也不能证明该土地归银行所有,关键在于土地证的证载内容,证载内容受法律保护,如证载内容没有改变,银行也没有处置权。 按规定,银行应要求办理以下手续:对所涉及土地应办理抵押登记手续;银行应领取他项权利证明书,作为抵押权的证明文件。 |
|
|
| 二、计算题: |
| 2.某制药企业为扩大经营规模,准备将位于W市城区的老工厂迁出。根据当地政府规定,老厂区土地由政府按一定价格收购后,重新开发利用。该企业拟用政府收购老厂区的补偿价格在郊区工业开发区购置土地,建设新的现代化制药厂。 经调查,该企业老厂区土地为1987年以无偿划拨方式取得的国有土地,土地面积为3000m2,重新开发后,规划建设商务办公楼,规划容积率为2.4。该办公楼建成后,预计售价为11000元/m2,开发期为2年,建筑费为4500元/m2,专业费和不可预见费分别为建筑费的5%和3%,建造成本第一年投入45%,第二年投入55%,年内均匀投入,建成后即可全部售出。该项目预计投资回报率为房地产售价的15%;税金为房地产售价的6%,年贷款利率为8%,土地还原利率为6%。 W市郊区工业开发区周边地区近3年农作物的年平均亩产值为1800元/亩,因当地人多地少,故征地时土地补偿费和安置补助费的总和取法律规定的最高值,青苗及地上物补偿费按当地农作物1年产值补偿。根据当地规定,征地过程中的征地管理费按照征地费总额的4%征收;耕地占用税按5元/m2计收;耕地开垦费按10元/m2计收。开发区平均土地开发程度达到“五通一平”(通路、通水、通信、通电、排水,场地平整),土地开发费为60元/m2,开发周期为1年,开发费在开发周期内均匀投入;土地开发的投资回报率为15%,经调查,该市土地增值收益与当地出让金标准一致。根据该市规定,开发区工业用地土地出让金最低不得低于150元/m2,住宅用地土地出让金最低不得低于300元/m2,商业用地出让金最低不得低于600元/m2。市区老厂区所在区域工业用地土地出让金最低不得低于300元/m2,住宅用地土地出让金最低不得低于500元/m2,商业用地出让金最低不得低于930元/m2。 1.请测算老厂区用地在规划用途条件下法定最高年期的土地使用权单价和总价。 2.经协商,当地政府同意对老厂区按规划用途条件下划拨土地使用权价格的60%给予补偿,试问该企业最高可以得到多少补偿? 3.该企业如以该补偿价购置开发区的土地,最多可以购买的土地面积是多少? |
| 正确答案: 1.适用公式 (1)老厂区规划条件下,出让土地使用权价格评估公式为: 土地价格=开发完成后的楼价-建筑费-专业费-不可预见费-利息-利润-销售税费 (因题目中未给出购地税费比率,在此不考虑购地税费) (2)老厂区规划条件下,划拨土地使用权价格评估公式: 划拨土地使用权价格=出让土地使用权价格-土地出让金 (3)工业开发区土地市场价格评估公式: 土地价格=土地取得费+土地开发费+税费+利息+利润+土地增值 2.计算步骤 1)测算老厂区用地在规划条件下的出让土地使用权价格老厂区用地属待开发土地,适用于剩余法评估。 (1)确定最有效利用方式。根据规划,老厂区规划用途为商务办公,即为最有效利用方式。 (2)计算开发后的不动产总价。 不动产总价=11000×2.4×3000=7920(万元) (3)计算建造成本。 建筑费用=4500×2.4×3000=3240(万元) 专业费=3240×5%=162(万元) 不可预见费=3240×3%=97.2(万元) 建筑成本合计=3240+162+97.2=3499.2(万元) (4)计算开发利润。 利润=7920×15%=1188(万元) (5)计算投资利息。 投资利息=地价×[(1+8%) -1]+3499.2×45%×[(1+8%) -1]+3499.2×55%×『(1+8%) -1]=0.1664×地价+192.69+75.5 =0.1664×地价+268.19 (6)计算税费。 税费=7920×6%=475.20(万元) (7)计算地价。 地价=7920-3499.20-1188-0.1664×地价-268.19-475.2 地价=2134.30(万元) 单位面积地价=2134.3/3000=7114.30(元/m2) 2)测算该企业可得到的补偿 根据题意,应按规划条件下划拨土地使用权价格的60%对企业给予补偿,W市商业用地的最低出让金为930元/m2,其划拨土地使用权价格应为出让土地使用权价格后扣减出让金。 即: 划拨土地使用权价格=7114.3-930=6184.30(元/m2) 补偿金额=60%×6184.30×3000=1113.17(万元) 该企业最高可以得到1113.17万元的补偿。 3)计算可以购置的开发区土地面积 (1)用成本逼近法测算开发区的单位面积地价。 ①计算土地取得费及税费。 土地补偿费和安置补助费的法定最高补偿标准为年产值的30倍,即: 最高补偿标准=1800×30=54000(元/亩)=81(元/m2) 青苗补偿及地上物补偿=1800/666.67=2.70(元/m2) 征地费合计=81+2.70=83.70(元/m2) 征地管理费:83.70×4%=3.35(元/m2) 耕地占用税=5元/m2 耕地开垦费=10元/m2 合计土地取得费及税费=83.7+3.35+5+10=102.05(元/m2) ②土地开发费。 土地开发费=60元/m2 ③投资利息。 投资利息=102.05×8%+60×1/2×8%=10.56(元/m2) ④投资利润。 投资利润=(102.05+60)×15%=24.31(元/m2) ⑤计算50年期成本价格。 50年期价格=(102.05+60+10.56+24.31)×[1-1/(1+6%) ]=186.23(元/m2)⑥计算土地增值。 根据题意,这里土地增值收益取50年期土地出让金,最低为150元/m2。 ⑦计算单位面积地价。 单位面积地价=186.23+150=336.23(元/m2) 即:开发区50年期的工业用地土地使用权价格为336.23元/m2。 (2)计算可以购置的土地面积。 可购置土地面积=1113.174/336.23=33107.52(m2) 换算成亩=33107.52/666.67=49.66(亩) 即:该企业获得的补偿款可以购置49.66亩的工业开发区土地。 |
|
|
| 3.M公司于2002年11月1日以13428万元在A市购买了一栋写字楼,总建筑面积为15000m2,占用土地面积12480m2,该写字楼除10000m2自用外,其余部分用于出租。2004年11月1日,M公司为核实资产,需对该土地使用权价格进行评估。 经调查,该写字楼所占土地为2000年11月1日取得的国有出让土地,出让年期为50年,写字楼于2001年11月1日建成,当时建筑造价为2300元/m2(建筑面积),房屋耐用年限为60年,残值率为2%。该写字楼现时出租部分的月租金为60元/m2(建筑面积),比市场同类物业平均月租金低5元,市场平均空置率为10%,出租经营过程中的营业税为年租金的5%,维修费为重置价的2%,管理费为年租金的3%(以实有建筑面积计算,不考虑空置),年保险费为重置价的0.2%,房产税为原造价70%的1.2%。目前该类物业的建筑造价为2500元/m2,房屋还原利率及土地还原利率分别为8%和6%。 请根据上述资料测算该土地于2004年11月1日的单位面积地价和总地价。 |
| 正确答案: 1.适用公式 土地价格=土地纯收益/土地还原率×[1-1/(1+土地还原率)土地收益年期] 土地纯收益=房地纯收益-房屋纯收益 房屋纯收益=房屋现值×房屋还原率 2.计算步骤 (1)选择计算方法。根据题意,估价对象为有收益土地,适用于收益还原法评估。 (2)计算房地年总收益。采用客观租金,写字楼自用部分也应计算收益。即: 房地建筑面积月租金=60+5=65(元/m2) 房地年总收益=建筑面积月租金×月份数×建筑面积×(1-空置率) =65×12×15000×(1-10%)=1053(万元) (3)计算房地年总费用。 年营业税=房地年总收益×5%=1053×5%=52.65(万元) 年管理费=房地实有建筑面积总租金×3% =65×12×15000×3%=35.1(万元) 年维修费=重置价×2%=2500×15000×2%=75(万元) 年保险费=重置价×0.2%=2500×15000×0.2%=7.5(万元) 年房产税=原造价×70%×1.2% =2300×15000×70%×1.2%=28.98(万元) (这里取原造价,即2300元/m2) 房屋年折旧费=(房屋重置价-残值)/49 =(2500-0)×15000/49=76.53(万元)(残值为零) 房地年总费用=营业税+管理费+维修费+房产税+房屋年折旧费 =52.65+35.1+75+7.5+28.98+76.53=275.76(万元) (4)计算房地年纯利益。 房地年纯收益=总收益-总费用=1053—275.76=777.24(万元) (5)计算房屋现值。 房屋现值=房屋重置价-房屋年折旧费×已使用年期 =2500×15000-765300×2=3596.94(万元) (6)计算房屋年纯收益。 房屋年纯收益=房屋现值×房屋还原率 =3596.94×8%=287.76(万元) (7)计算土地年纯收益。 土地年纯收益=房地年纯收益-房屋年纯收益 =777.24-287.76 =489.48(万元) (8)计算2004年11月1日的土地使用权价格。 土地使用权价格=(土地年纯收益/土地还原率)×[1-1/(1+土地还原率) ]=(489.48/6%)×[1-1/(1+6%) ]=7599(万元)单位面积地价=75990000元/12480 =6089(元/m2) |
|
|
| 4.某房地产开发公司于2000年10月以出让方式取得一宗地,土地面积为4000m2,出让年期40年,出让用途为商业,规划建设一座6层商场,各层建筑面积相同,建筑容积率为3.0。2001年10月商场建成后,该房地产开发公司将第一层出售给公司乙,市场售价为6500元/m2(建筑面积),其余建筑由该房地产开发公司出租经营,相关手续均已办理。 1.根据以下条件采用市场比较法(至少选择3个比较案例)测算公司乙于2004年10月所占用土地的总价。 经调查,该商场周边区域有若干正常情况下的土地成交案例,各案例的条件如下表所示。 ![]() 上表中有关系数均为比较案例与待估宗地比较所得,数值为负值表示案例的条件比待估宗地条件差,数值为正值表示案例的条件比待估宗地条件优,数值表示对宗地价格的修正幅度。 该城市商业用地价格在2001年6月至2003年6月间,平均每月比2001年6月的价格上涨0.2%;2003年7月至2004年10月间,平均每月比2001年6月的价格上涨0.1%。土地还原利率取6%。 2.因登记需要,需测算公司乙所应分摊的土地面积,请按其首层建筑面积占整座商场建筑面积的比例计算公司乙应分摊的土地面积。 3.若该商场第一层出租,请测算其所占用土地的单位土地面积市场年租金。 |
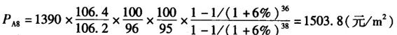
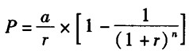
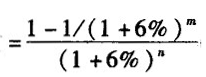
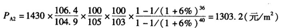
| 正确答案: 1.适用公式 估价对象土地价格=比较案例土地价格×交易情况修正×日期修正×区域因素修正×个别因素修正×年期修正 土地市场年租金 ![]() 2.计算步骤 1)测算乙公司所占用的土地总价 (1)选择计算方法。根据本题所提供的资料,采用市场比较法评估。 (2)选择比较实例。根据估价对象条件,按照同一供需圈、用地类型相同、交易类型相同或相近、交易时间相近等要求,选择交易案例A2、A7、A8作为比较实例。 (3)确定比较因素,进行因素修正。因估价对象与各比较实例均为正常交易,不需进行交易情况修正,故修正因素主要有交易日期、区域因素、个别因素和土地使用年期。 ①编制交易日期修正指数表,根据题目所给条件,交易日期修正指数表如下。 ![]() ②编制区域因素修正指数表如下。 ![]() ③编制个别因素修正指数表如下。 ![]() ④确定年期修正公式。 年期修正系数= (m为待估宗地的使用年期,n为比较实例的使用年期)![]() ![]() ![]() ![]() (5)计算估价对象土地价格。 楼面地价=(1303.2+1436.5+1503.8)/3=1414.5(元/m2) (6)计算土地总价。 乙公司拥有的建筑面积为:4000×3/6=2000(m2) 土地总价=建筑面积×楼面地价=2000×1414.5=282.9(万元) 2)计算乙公司应分摊的土地面积 按建筑面积分摊: 分摊比例=市场建筑面积/总建筑面积=2000/12000=1/6 分摊土地面积=4000×1/6=666.67(m2) 3)测算单位土地面积的市场年租金 题目未明确租赁费用问题,在此假定年净租金即市场年租金: 单位面积地价=土地总价/分摊后的土地面积 =2829000/666.67 =4243.5(元/m2) 由公式: ![]() 得: ![]() ![]() =290.2(元/m2) |
|
|
| 三、报告改错题: |
| 5.土地估计技术报告 第一部分总述 一、股价项目名称 ××房地产发展有限公司涉及法律诉讼的土地价格评估。 二、委托估价方 ××市中级人民法院。 三、受托估价方 (略) 四、估价目的 根据××房地产发展有限公司提供的“国有土地使用证”,权利人为××房地产发展有限公司,已设定抵押权,抵押权人为××银行,因未能按期还款,估价对象土地已由××市中级人民法院查封。现受委托评估土地的市场价格,供委托方确定拍卖价格提供参考;同时也为市国土资源局在办理土地变更登记手续时,了解该土地交易价格是否合理提供决策依据。 五、估计依据 (1)《中华人民共和国土地管理法》及实施条例。 (2)《中华人民共和国城市房地产管理法》。 (3)《中华人民共和国城镇国有土地使用权出让和转让暂行条例》。 (4)《城镇土地估价规程》。 (5)《城镇土地分等定级规程》。 (6)委托方及案件当事人提供的有关资料。 (7)委托评估函。 (8)《国有土地使用证》[××字(1998)第×××××号]。 (9)《国有土地使用权出让合同》[××土地出让合同字第×××号]。 (10)《关于××商品住宅项目可行性研究报告的批复》[××计投××号]。 (11)《建设用地规划许可证》[××规地×第×××号]。 (12)其他有关资料。 (13)估价人员实地勘察、调查资料。 六、估价基准日 2004年7月5日。 七、估价日期 2004年7月5日至7月14日。 八、地价定义 本报告提供的土地价格是2004年7月5日住宅用地使用权市场价格。 九、估价结果 经评估,待估宗地于估价基准日在现状条件下67年4个月使用期限的土地使用权价格 如下。 土地单价:4562元/m2。 总价:10237128元。 大写:壹仟零贰拾叁万柒仟壹佰贰拾捌元整(人民币元)。 十、需要特殊说明的事项 (1)本估价报告提供的评估结果是在全部限制条件下于估价期日的公开市场价值,所谓公开市场价值指评估对象于估价基准日在市场上出售并按以下条件可取得的合理价格。 ①买卖双方不因任何特殊利益抬高或降低土地真实价值。 ②有一段合理交易时间。 ③在此期间土地市场保持稳定。 ④房地产买卖程序符合国家法律规定。 (2)由于待估宗地的土地权属性质为国有划拨,考虑到未来转让土地的需要,本评估价格中包括土地使用权出让金;根据国家规定,该划拨土地转让时,应交纳土地出让金。 (3)本报告的评估价格系全部限制条件下求得的。根据××房地产发展有限公司提供的“国有土地使用证”,该土地已设定抵押权,因抵押人未能按期还款,该土地已由××市中级人民法院查封。考虑到本次评估是为法院处置该土地提供价格依据,所以未考虑抵押权对价格的影响。 (4)本报告自估价基准日起1年内有效。 十一、土地估价师签字 姓名 土地估价师资格证书号 签字 王 ****** (签字) 李 ****** (签字) 十二、土地估价机构(章) 二00四年七月十四日 第二部分估价对象描述及地价影响因素分析 一、估价对象描述 1.土地登记状况 根据××房地产发展有限公司提供的“国有土地使用证”,该土地所有权属于国家所有,土地使用权人为××房地产发展有限公司,土地权属性质为国有出让。该宗地已设定抵押权,抵押权人为××银行,因未能按期还款,估价对象土地已由××市中级人民法院查封。 估价对象土地为国有出让土地使用权,土地使用期限为2001年11月19日至2072年11月18日,自评估基准日起还剩余67年4个月。 2.土地权利状况 根据××房地产发展有限公司提供的国有土地使用权证,估价对象宗地编号为:××××,图号:××××,地号为:××××,规划用途为住宅用地,土地总面积1020.0m2,处于基准地价三级区域。国有土地使用证号:××××××号。 3.土地利用状况 (1)规划指标:根据土地使用权出让合同,项目批准建造四层公寓式商品住宅二幢,总建筑面积2244m2。 (2)地块目前尚未开发,除沿××路还有3户待拆迁房屋外,其余已于2002年9月拆平。 二、地价影响因素分析 1.一般因素 (略) 2.区域因素 估价对象地块周边公交线路多,交通方便,距市中心直线距离约4km,四周多为2层或多层住宅,幼托、小学、商店、邮局、银行等公共设施齐全,人均公共绿化面积大,为该城市低密度居住区。 3.个别因素 评估地块基本规则,面积小,土地开发工程建设所需的水、电尚未接通。 第三部分土地估价 本项目评估遵循土地估价的合法原则、公平公正原则、估价时点原则、供求原则。 二、估价方法和估价过程 由于估价对象位于城市低密度居住区,房地产市场和土地市场比较发达,有较多的成交实例可以选择,根据《城镇土地估价规程》(以下简称《规程》)并结合估价对象的具体特点,选择市场比较法及成本逼近法进行评估。 (一)市场比较法 根据替代原则,将估价对象土地与较近时期内已经发生交易的类似土地实例进行对照比较,并依据后者已知的价格,是参照该土地的交易情况、期日、区域以及个别因素等差别,修正得出的估价对象在评估期日地价的一种方法。其计算公式为: 待估宗地价格 ![]() ![]() ![]() 1.选择比较实例 估价人员收集了多宗土地成交实例,选择了本市同属基准地价三级地段的3个土地出让实例作为比较实例,比较实例及评估地块情况如下表所示。 ![]() 2.收集地价指数 据市统计局发布的资料,2000年以来的物价指数如下表所示。 ![]() 3.容积率与修正指数 根据当地容积率与地价的关系,容积率每提高0.1,修正指数提高5,容积率与修正指数的关系如下表所示。 ![]() 4.确定土地因素条件指数 根据估价对象和比较实例因素条件及地价指数、容积率修正指数,确定土地因素条件指数如下表所示。 ![]() 各因素比较说明如下。 (1)交易情况修正。 A、B、C为正常出让地价(市场价格);估价对象土地为市场价格,考虑到法院对估价对象土地的处理,交易情况略向下修正。 (2)期日因素。 委估对象相比较A、B、C为不同时期的价格,2000年至今住宅用地出让价格平稳上升。 (3)区域因素修正。 该项因素主要包括地理位置(土地等级)条件、道路交通通达程度和环境,委估对象及比较实例均处××区内,但估价对象较实例B、C略差,进行修正。 (4)个别因素修正。 主要包括临街因素、面积大小、基础设施、容积率、年期修正。 比较因素分值计算如下表所示。 ![]() 5.确定待估宗地的比准价格 经测算,3个比较实例经修正后的价格分别是4501元/m2、4437元/m2和4748元/m2,取3个比较实例修正价格的算术平均值作为待估宗地的价格,即为4562元/m2。 (二)成本逼近法 成本逼近法是以土地取得费、土地开发所耗各项费用之和为主要依据,再加上一定的利润、利息、应缴纳的税金和土地增值收益(土地使用权出让金)来确定土地价格的估价方法。 1.计算公式 土地价格=土地取得费+土地开发费+利息+利润+税费+土地增值收益(土地出让金) 2.土地取得费 (1)居民拆迁安置费。评估地块原为新中国成立前留下的棚户区,密度大,共需拆迁安置51户居民,除沿××路还有3户待拆迁房屋外,其余已于2002年9月拆平,按当时居民拆迁安置费用平均水平,每户居民平均为12万元。12×(51-3)=576(万元) (2)土地开发费。场地未平整,建筑垃圾未清理,工程未开工,临时水、电未到位,未发生土地开发费。 (3)管理费及不可预见费(以征地费总额的3%计)。 576×30k,=17.28(万元) (4)利息。利率按银行一年期贷款利率5.85%计,该地块动拆迁于2002年3月开始,拆迁周期约半年。 576×5.85%×0.5=16.85(万元) (5)利润。评估目的为法院处置用,利润不计。 (6)税费。未发生经营收入,税费不计。 (7)土地增值收益。土地出让金以××房地产发展有限公司与市国土资源局于2001年11月签订的土地出让合同载明的出让金57.18万元(70年土地使用期限)扣除两年零8个月的土地增值收益计。 57.18×67.33/70=55(万元) (8)成本逼近法计算土地价格。 576+0+17.28+16.85+0+0+55=665.13(万元) 单位土地面积单价=665.13/1020=6521(元/m2) 三、地价的确定 1.地价的确定方法 成本逼近法估价结果为6521/m2市场比较法估价结果为45622说明××房地产有限公司当初取得此地块成本较高,但考虑开发后利润不大(容积率受控制,可建面积仅2244m2),结合评估目的,市场比较法结果较能反映现时该类地块的市场价格,故以市场比较法价格为最终结果。 2.估价结果 经评估,待估宗地于估价基准日在现状条件下67年4个月使用期限的土地使用权价格如下。 土地单价:4562元/m 。总价:4562×2244=10237128(元)。 大写:壹仟零贰拾叁万柒仟壹佰贰拾捌元整(人民币元)。 第四部分附件 (1)委托估价函。 (2)待估宗地位置示意图。 (3)国有土地出让合同复印件。 (4)待估宗地所在区域拆迁审批文件复印件。 (5)估价机构营业执照复印件。 (6)估价机构资质证书复印件。 (7)土地估价师资质证书复印件。 二00四年七月十四日 |
| 正确答案: 土地估价技术报告中存在的主要错误及其致错原因如下。 (1)估价目的不能同时有两个目的,如为两个目的,应分别出具报告。 (2)地价定义不清,应明确对应的土地用途、使用年期、土地开发程度等内容。 (3)需要特殊说明的事项中,待估宗地的土地权属为国有划拨,与后面描述的土地权利状况为国有出让前后不一致,说法有误。 (4)土地估价机构盖章栏,没有估价机构负责人的签字。 (5)土地登记状况中描述的内容与登记状况不符,此中描述的内容应为土地权利状况的内容。 (6)土地权利状况中描述的内容与权利状况不符,此中描述的内容应为土地登记的内容。 (7)估价对象的土地使用期限2001年11月19日至2072年11月18日有误,超过了法定最高年限。 (8)估价原则中,缺替代原则、预期收益原则等。 (9)用市场比较法对待估宗地的描述中容积率计算有误,应为2.2。 (10)市场比较法中,采用物价指数作为地价指数,没有说明理由和依据。 (11)比较案例进行交易情况修正,依据不充分,因为法院委托评估的也是正常市场价格,不应进行交易情况修正。 (12)市场比较法中没有对土地使用年期进行修正,有误。 (13)动拆迁费用按当时(2001年5月)的标准计算不妥。应按照估价时点时的拆迁补偿费用水平计算。 (14)按估价对象实际的拆迁户数计算动拆迁费用不妥,应按照区域平均拆迁居民密度计算拆迁户数。 (15)按估价对象实际的拆迁周期计算利息不妥,应交代该周期是否为社会平均拆迁周期。 (16)利息率取值有误,2002年2月起,一年期利息率调整为5.31%。 (17)因为是法院处置而不计算利润不妥,应计算利润。 (18)估价对象出让时间为2001年11月,估价时点为2004年,以合同所载土地出让金作为土地增值收益不妥,应按照估价时点应有的土地增值收益水平计算。 (19)扣除2年零8个月的土地增值收益时采用直线折旧方式不妥,应采用年期修正方式,计算公式为: ,r为土地还原率。(20)因实际未发生经营收入而不计税费不妥,应按规定计入有关税费。 (21)成本逼近法评估结果应作年期修正,修正系数计算公式为: ,r为土地还原率。(22)总地价计算有误,应将单价乘以土地面积,而不是建筑面积。 (23)附件中缺土地权属来源文件。 (24)附件中缺估价对象利用照片。 |