发布时间:2012-07-25 共1页
| 一、单项选择题: |
| 1.某城市一宗工业用地所处土地级别的基准地价为300元/m2,根据国土资源部《关于发布实施<全国工业用地出让最低价标准>的通知》(国土资发[2006]307号)的规定,该市工业用地出让最低限价为284元/m2,2008年8月,该市国土局拟出让此宗地,则其出让价格不得低于( )元/m2。 |
| 正确答案:C |
|
|
| 2.某宗地当前年纯收益为5万元,预计未来每年纯收益比上一年增长1%,土地还原率为5%,则该宗地当前的无限年期价格为( )万元。 |
| 正确答案:B |
|
|
| 3.房屋拆迁规模大、分期分段实施拆迁时,拆迁估价期日为( )。 |
| 正确答案:C |
|
|
| 4.某城市甲、乙两宗地楼面地价分别为2020元/m2、1850元/m2,建筑容积率分别为3、5,若其他规划条件相同,则两宗地的总价比较为( )。 |
| 正确答案:A |
|
|
| 5.在土地定级中,某评价单元受到市级商服中心、区级商服中心影响,其中市级商服中心的市级、区级、小区级商服功能对其影响分值分别为15、10、20,区级商服中心的区级、小区级商服功能对其影响分值分别为12、21,则其商服繁华度作用分值为( )。 |
| 正确答案:C |
|
|
| 二、多项选择题: |
| 6.下列选项中,必须计入土地开发费的有( )。 |
| 正确答案:ABD |
|
|
7.已知,某宗已完成配套开发的国有土地评估价为V ,政府确定其出让底价为V ,拍卖中其成交价为V 。按照正常情况,下列关于评估价、出让底价、成交价之间的关系描述正确的有( )。 |
| 正确答案:BCD |
|
|
| 8.下列关于政府干预地价过度上涨的正确说法是( )。 |
| 正确答案:CDE |
|
|
| 9.开发商经出让取得某宗商品房开发建设用地,在开工建设前接到政府规划调整通知,将该地块列入经济适用住房开发建设用地,提高容积率,并将南面临路的部分土地改为街头绿地。下列关于开发商重新办理用地手续的正确说法是( )。 |
| 正确答案:BC |
|
|
| 10.某宗地位于城市郊区,临城市主干道,周边生活基础设施不够完善,所在街道人口密度较小。宗地西高东低,北段边界呈弧形,为不规则多边形。根据所给资料可以准确认定的宗地个别条件有( )。 |
| 正确答案:BC |
|
|
| 三、情景分析题: |
| (11-15题共用题干) |
| A城市有一宗国有建设用地,占地面积为1000m2,土地使用者于2001年以行政划拨方式取得,后于2004年8月1日通过补办出让手续取得该宗地50年期的土地使用权,同时建成一栋总建筑面积为2500m2的办公楼,现全部用于出租。A城市房地产市场比较发育,拟以2009年8月1日为估价期日进行评估,开展的有关市场调查如下: (1)该宗地同一区域、规模档次相同的办公楼月租金收入一般为30万元,月平均费用15万元,可收取押金60万元; (2)该办公楼耐用年限为60年,残值率为0,建筑物重置价为4000元/m2; (3)当地土地还原率为6%,建筑物还原率为8%,银行一年期存款利率为5%。 请根据上述内容,回答51~55小题的问题。 |
| 11.评估该宗地价格时,土地估价人员不宜选择的估价方法有( )。 |
| 12.从该办公楼的耐用年限和残值率看,其建筑结构为( )。 |
| 13.该办公楼客观年纯收益为( )万元。 |
| 14.评估中,该办公楼的年折旧额为( )万元。 |
| 15.若A城市土地市场上的交易案例较租赁案例多,采用市场比较法求取的价格比收益还原法低一成,那么最终确定土地价格将采用( )的方法。 |
| 正确答案:11.D;12.D;13.C;14.C;15.B |
|
|
| (16-20题共用题干) |
| 某城市有一座两面临街的商业不动产,经土地估价师收集资料、实地踏勘,得到该宗地的以下资料和信息: (1)宗地现场调查草图,如图所示; (2)与该宗地类似的房地产年出租净收入一般为400元/m2; (3)该宗地的使用年限为40年,现已使用了10年; (4)该宗地的容积率为1,建筑密度为50%,建筑靠近甲街道; (5)该类不动产综合还原率为10%,土地还原率为8%; (6)该城市路线价深度修正系数如下表,并依规定,两面临街且宗地深度在里地线深度2倍值以下时,应以中间线分前后两部分计算其临街单价。 深度修正系数表 ![]() ![]() 请就上述内容,回答56~60小题的问题。 |
| 16.从宗地现场调查草图上可以获得待估宗地的个别条件信息有( )。 |
| 17.假定未来年收益不变,该不动产当前的评估价格为( )元/m2。 |
| 18.该宗地当前的评估价格为( )元/m2。 |
| 19.若不动产的估价为76万元,土地估价为52万元,该城市银行的不动产或土地抵押贷款率为60%,则委托方下列贷款期望数额中,( )万元银行可以接受。 |
| 20.委托方贷款额为不动产总值的60%,土地估价机构仍然不得接受抵押委托评估的情形有( )。 |
| 正确答案:16.AC;17.D;18.B;19.ABC;20.AC |
|
|
| 四、计算题: |
| 21.某企业于2006年10月30日以挂牌出让的方式,取得一宗面积为10000m2的综合用途土地,土地出让年限为50年,批准的规划容积率为2.5。由于市政建设条件等原因,未能及时开工,后经有关部门的批准,项目于2008年7月开始动工,预计2010年7月竣工。项目其他有关资料如下: (1)该不动产为商场、写字楼用途,总建筑面积25000m2。其中,1~4层为商场,建筑面积10000m2;8层为设备层,建筑面积为1000m2;其余层为写字楼,建筑面积14000m2。写字楼中2层自用,建筑面积2000m2。 (2)该不动产预算投资2400元/m2,开发建设周期预计2年,第一年投入60%,第二年投入40%,资金在投资期间为均匀投入。该不动产建成时即以出租的方式经营,现已计划出租定价,商场为每平方米建筑面积5.5元,写字楼为每平方米建筑面积3.5元。 估价师对市场进行调查获得一些资料: (3)同类建筑物耐用年限为50年,估价期间,市场建安综合造价为2500元/m2,经估算,本项目投资总量为6250万元。 (4)估价期间,同一区域内类似物业的租金水平比较稳定,按可出租建筑面积计,商场市场日租金为5.0元/m2,写字楼市场日租金略低,考虑市场平均可出租率、空置期,以及承租方一般需缴纳相当于3个月租金数额的押金等因素,经测算,本物业建好后的年总收益为3000万元。 (5)估价期间,同一区域内类似物业出租经营中,市场管理费、维修费、税金分别为年租金的10%、8%和12%。按此标准测算,本物业经营中管理费、维修费、税金共计800万元。由于综合还原率中已考虑建筑物每年的折旧损失因素,所以经营费用中不再考虑。保险费为建安综合造价的0.2%。 (6)当地土地还原率为8%,综合还原率为10%(已考虑建筑物每年的折旧损失因素);同类不动产销售时,销售税费相当于售价的10%,投资利润相当于土地取得费用和建造成本之和的30%。此外,假设土地取得费中包含的税费相当于地价款的1%,有关的银行存款年利率为6.5%,贷款年利率为10%。 请从上述信息中选择最恰当的数据和参数,测算本物业所占土地在2008年7月30日的市场价值。 |
| 正确答案: 1.解题思路 根据所给资料,首先采用收益还原法评估不动产总价,然后采用剩余法评估该宗地于评估期日的价格。 2.计算步骤 (1)计算房地产总价 1)该建筑物房地产年总收益为30000000元。 2)求取该建筑房地产总费用: 管理费、维修费、税金为8000000元。 保险费=建安造价×0.2%=62500000×0.2%=125000(元) 总费用=管理费+维修费+保险费+税金 =8000000+125000 =8125000(元) 3)房地产总纯收益=30000000-8125000 =21875000(元) 4)房地产总价格= ![]() = ![]() =216085986.8(元) (2)计算土地价格 1)总建筑成本=建筑总面积×建安造价=62500000(元)。 2)估算房地产开发利息: 房地产开发利息=土地取得费用×[(1+10%) -1]+60%×6250×[(1+10%) -1]+40%×6250×[(1+10%) -1]=0.21×土地取得费用+6983586.19(元) 3)估算房地产开发利润: 投资回报率=(土地取得费用+开发成本)×30% =(土地取得费用+62500000)×30% =0.3×土地取得费用+18750000(元) 4)估算房地产销售税费: 销售税费=售价×10%=216085986.8×10%=21608598.68(元) 5)估算待估宗地价格: 土地取得费用=房地产总价-开发成本-利息-利润-税费 =216085986.8-62500000-(0.21×土地取得费用+6983586.19)-(0.3×土地取得费用+18750000)-21608598.68 =106243801.90-0.51×土地取得费用 则:土地取得费用=106243801.90-0.51×土地取得费用 土地取得费用=70360243.69(元) 地价=土地取得费用/(1+购地税费) =70360243.69/(1+1%) =6966(万元) 附:年期不同保留位数时的不同结果对照表 ![]() ![]() |
|
|
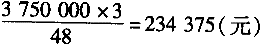
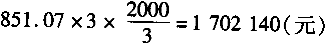
| 22.某公司于2003年11月,出资150万元以有偿出让方式取得一宗地的50年土地使用权,并于2005年11月以300万元的造价完成了厂房、办公用房等的建筑,已竣工验收。2008年11月,调查和实地踏勘后,得到的有关资料如下。 (1)该宗地面积为3亩,土地开发程度为“五通一平”,其所属建筑物面积为2500m2,砖混结构,经济耐用年限为50年,残值率为2%。 (2)2003-2008年该地区建材价格指数平均每年比上年上涨8%。 (3)2008年11月,宗地所在区域进行成片开发时,土地补偿费、安置补助费及征地发生的其他税费为300元/m2,开发程度为“五通一平”的土地开发费为200元/m2,土地的开发周期平均为2年,开发投资为均匀投入。根据城市规划,公共绿地、道路等公共用地面积比例应占成片开发土地面积的10%。 (4)当地银行一年期贷款利率为12%,与该宗地类似土地的开发投资回报率为15%、土地增值收益率为15%、土地还原率为10%。 (5)该类建筑物的重置价为1500元/m2。 2008年11月该公司拟进行合作经营,需对整体不动产进行评估作价,试根据上述资料选择适当的方法,评估整体不动产的现值总价和楼面价格 |
| 正确答案: 1.方法选择 根据所给资料,应采用成本法评估该房地产现值。 2.计算步骤 (1)计算土地价格: 利用成本逼近法计算土地价格 1)土地取得费=300(元/m2) 2)土地开发费=200(元/m2) 3)投资利息=300×(1.12 -1)+200×(1.12 -1)=100.32(元/m2)4)投资利润=(300+200)×15%=75(元/m2) 5)成本价格=土地取得费+土地开发费+利息+利润 =300+200+100.32+75+675.32(元/m2) 6)土地增值=675.32×15%=101.30(元/m2) 7)土地无限年期价格=土地成本价+土地增值 =675.32+101.30=776.62(元/m2) 8)单位宗地价格= ![]() 9)宗地总价: ![]() (2)计算建筑物价格 1)建筑物重置价格=1500×2500=3750000(元) 2)建筑物折旧额= ![]() 3)建筑物现值=3750000-234375=3515625(元) (3)计算不动产现值 1)不动产现值=1702140+3515625=5217765(元)≈522(万元) 2)单位不动产现值=5217765/2500≈2087(元/m ) |