土地估价师土地估价实务基础考试真题:2010年试题

发布时间:2012-07-25 共1页

2010年试题
一、情景分析题:
(1-5题共用题干)
甲企业于2000年以划拨方式取得某城市四级地范围内的一宗工业用地,土地面积4000平方米,随后投入资金200万元进行厂房建设;厂房总建设面积2500平方米。2003年,由于生产发展的需要,甲企业先后向乙、丙两家银行申请房地产抵押贷款看病分别获得贷款80万元和100万元,抵押期限均为三年,抵押贷款率均为50%.已知该城市基准地价成果于2000年公布执行,荼毒出让金以基准地价为基础核算,按四级工业用地基准地价核算的工业用地出让金标准为200元/平方米。另据调查,附近区域与该宗地类似的工业用地在2000年、2004年、2006年成交的土地出让金水平分别为200元/平方米、230元/平方米、250元/平方米。根据上述情况,回答问题。
1.甲企业在向银行申请抵押贷款时,房地产就爱个评估值V1可以表达为(    )



2.在向银行申请抵押贷款的同时,甲企业向保险公司投保,并委托评估机构进行投保财产价格评估,则评估值V2 为(    )



3.2006年由于经营不善,家企业未能按期偿还贷款而被乙、丙两家银行共同起诉至法院。法院拟对抵押物房地产进行处置。如果以拍卖方式处置,则该房地产可能的拍卖底价为(    )万元。



4.如果拍卖陈宫,所需支付的费用有:①偿还乙\丙银行的贷款;②缴纳土地使用权出让金;③甲企业拖欠的职工工资及养老保险等费用;④处分房地产时发生的相关税费,则按时间先后顺序支付拍卖所得价款最可能的情况是(    )



5.如果拍卖成功,需向政府补交的土地出让金总额为(    )万元。



 
正确答案:1.ACD;2.BD;3.D;4.C;5.D
 
(6-10题共用题干)
某评估机构在接受委托对位于某市两宗用途分别为工业、住宅用地的雪有土地进行评估时,估价师收集到如下资料:①作为地区重要的政治、经济、乏化中心和交通枢纽城市,该市进入21世纪后历年GDP平均增长率达12%,城真居民可支配收入平均增长率为5%;②2005 -2006年两年间,城市旧城改造拆乇建筑面积10万平方米;③制定并公布了征地区片综合地价;④该市土地出让套按基准地价的70%收取,最末级别工业用地出让平均价格为270元/平方米;爹该市工业用地出让最低价标准为384元/平方米;⑥2004-2006年,该市商品住宅价格年平均增长率为10%。待估价宗地有关信息如下:(1)甲房地产开发公司2004年初通过拍卖方式取得待估宗地土地使用权,拍卖成交楼面地价1200,元/平方米,当时区域相同规划条件下公开交易地块平均成交楼面价为1000元/平方米。2004年末,甲公司以土地使用权作价入股方式与乙公司联合成立新公司。2006年上半年项目建成,年末完成销售。以2004年为基期,宗地所在区域2005年、2006年年度住宅用地环比地价指数分别为106、105。(2)丙企业取得的工业用地面积20亩,缴纳出让金467万元,并按该市经批准的城市规划,缴纳了因在城市规划区内取得土地使用权而应负担的城市公益用地征地成本,折合5亩共计50万元。在取得出让土地使用权后,为方便出行,丙出资50万元对外界通往宗地的道路进行了维修。另外,已知该宗地土地征收时向村集体支付的补偿费及耕地开垦费、征地管理费等相关税费为300万元,区域市政配套“五通一平”开发平均成本为12万元/亩。
请根据以上情况回答1-5题。
6.下列对该城市地价水平变化的分析正确的是(    )。



7.下列关于该市工业用地出让及地价评估观点正确的是(    )。



8.丙企业以资产重组为目的,运用成本逼近法评估该工业用地价格时应计算的成本费用最接近(    )万元。



9.甲公司以土地使用权作价入股时,乙方要求对土地使用权价格进行评估,则评估楼面地价最接近(    )元/平方米。



10.若将上述住宅宗地作为城市地价监测点,则其在2006年末的平均地价水平为(    )元/平方米。



 
正确答案:6.AD;7.BCD;8.C;9.B;10.B
 
二、计算题:
11.甲公司于2001年6月通过拍卖竞得一宗位于K市中心区的土地50年使用权。该宗土地面积为800平方米,经开发于2002年6月建成一座建筑面积38为950平方米的写字楼,并全部用于出租。为了解资产状况,甲公司2006年6月委托土地评估机构进行估价,要求评估土地价值以及土地与建筑物一体的价值。
评估机构调查资料显示,当时K市中心区同类写字楼月租金为50元/建筑平方米,管理费支出为租金的5%,年支付各项税金平均为35元/建筑平方米。除管理费外,还需支出维修费、保险费等。
假定该写字楼建筑物的重置价为1600元/平方米,残值为零,年支出维修费为重置价的2%,年支出保险费为重置价的0.2%,土地还原率为6%,建筑物还原率为8%,估价基准日定为2006年6月30日。请根据以上资料进行估算(需提供总价和单价)。
 
正确答案:
1
1.解题思路与方法选用
估价对象为有收益的房地产,且有客观收益和出租费用等资料,适宜选用收益还原法评估。
2.解题步骤
(1)计算房地年总收益
50×950×12=570000(元)
(2)计算年总费用
①年管理费=50×950×12×5%=28500(元)
②年维修费=1600×950×2%=30400(元)
③年保险费=1600×950×0.2%=3040(元)
④年税金=35×950=33250(元)
⑤年折旧费:1600×950/(50-01)=31020.41(元)
⑥年总费用:①+②+③+④+⑤
=28500+30400+3040+33250+31020
=126210(元)
(3)计算建筑物年纯收益
建筑物年纯收益=建筑物现值×建筑物还原率
=(建筑物重置价-年折旧费×已使用年限)×建筑物还原率
=1600×950-31020×4)×8%
=111674(元)
(4)计算土地年纯收益
土地纯收益=房地总收益-房地总费用-建筑物纯收益
=570000-126210-111674
=332116(元)
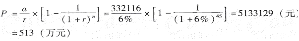
(5)计算2006年6月的土地价格
土地总价格:

P=A/R×[1-1/(1+r)n]=332116/6%×[1-1/(1+6%)45]=513(万元)
土地单位价格:5133129÷800=6416(元/平方米)
(6)建筑物现值
建筑物现值=建筑物重置价-年折旧费×已使用年限
=1600×950-31020×4
=1395920(元)
(7)土地及建筑物一体总价格:
土地及建筑物一体总价格=土地总价+建筑物现值×建筑物面积
=5133129+1395920
=6529049(元)=652(万元)
土地及建筑物一体单价:6529049÷800=8161(元/平方米)
 
12.S市有一面积为4000平方米的国有出让土地,用途为城镇混合住宅用地,拟在2007年1月1日进行土地使用权转让,试根据以下资料估算该宗地于转让日期的单位面积价格和总价格。
1.证载土地使用期至2070年1月1日,但限定商业用途最高土地使用年限40年。
2.宗地形状为规则平行四边形,规划容积率≦3.3,宗地实际用途为城镇混合住宅用地,根据具体规划指标,确定商、住比例为1:9.开发程度实际与设定均为宗地红线外“五通”(即通路、通上水、通下水、通电、通讯)和宗地红线内场地平整。
3.该市基准地价2005年公布,基准日设定为2005年1月1日,土地开发程度设定为红线外“五通”(即通路、通电、通上水、通下水、通讯),红线内场地平整,商业,住宅,工业用地年限分别设定为40年、70年、50年。该宗地属商业四级,住宅四级用地,其对应的基准地价为商业800元/平方米,住宅450元/平方米。
4.其他相关资料:
(1)该地市同类用地价格在2005年1月至5月没有变化,2005年6月至2006年12月每月递增0.5%;
(2)商业用地、居住用地的还原利率均为6%;
(3)根据容积率修正系数表,该市同类型土地在平均容积率为2.5时,对应的地价水平指数为100.容积率每增高或降低0.1,则地价向上或向下修正1%;
(4)根据基准地价因素条件分析,该地块影响因素修正幅度商业为-2%,住宅为3%;
(5)基准地价系数修正公式为:宗地地价=基准地价*(1+影响因素修正系数)*年期修正系数*期日修正系数*容积率修正系数+土地开发程度修正额。
 
正确答案:
4
1.方法选择
根据题意,待估宗地位于城镇基准地价四级覆盖范围内,且已给定基准地价内涵、相关因素修正标准等资料,宜选用基准地窖系数修正法评估。
2.解题思路
先分别评估商业、住宅部分的单位地价和总地价,再求取该宗城镇混合住宅一哦那个地的总地价和单位地价。
3.适用公式
待估宗地单位地价=宗地所在级别的基准地价*(1+影响因素修正幅度)*年期修正系数*期日修正系数*容积率修正系数+土地开发程度修正额
4.计算步骤
1)选择计算方法
根据题目所提供资料,可采用基准地价系数修正法评估。
2)计算商业部分地价
(1)确定宗地所在土地级别及基准地价标准
处于四级商业地价区,基准地价为800元/平方米。
(2)确定影响因素修正系数
影响因素修正系数=1+(-2%)=0.98
(3)确定年期修正系数
年期修正系数=[1-1/(1+6%)33]/{1-[1/(1+6%)40]}=0.9458
(4)确定期日修正系数
期日修正系数=(1+0.5%)19=1.0994
(5)确定容积率修正系数
容积率修正系数=(1+1%)8=1.0829
(6)确定开发程度修正额
该宗地开发程度为宗地红线外”五通”和红线内场地平整,与基准地价内涵一致,故土地开发程度修正额为0
(7)计算商业部分地价
商业部分单位地价=基准地价*(1+影响因素修正幅度)*年期修正系数*期日修正系数*容积率修正系数
=800*0.98*0.9458*1.0994*1.0829=882.79(元/平方米)
商业部分总地价=单位地价*总面积*商业部分所占比例
=882.79*4000*10%=353116(元)
3)计算住宅部分地价
(1)确定其所在土地级别及基准地价标准
处于四级住宅地价区,住宅基准地价为450元/平方米。
(2)确定影响因素修正系数
影响因素修正系数=1+3%=1.03
(3)确定年期修正系数
年期修正系数=[1-1/(1+6%)63]/[1/(1+6%)70]=0.9913
(4)确定期日修正系数
期日修正系数=期日修正系数=(1+0.5%)19=1.0994
(5)确定容积率修正系数
容积率修正系数=(1+0.5%)8=1.0829
(6)确定开发程度修正额
该宗地开发程度为宗地红线外”五通”和红线内场地平整,与基准地价内涵一致,故土地开发程度修正额为0
(7)计算住宅部分地价
住宅部分单位地价=基准地价*(1+影响因素修正幅度)*年期修正系数*期日修正系数*容积率修正系数
=450*1.03*0.9913*1.0994*1.0829=547.01(元/平方米)
住宅部分总地价=单位地价*总面积*住宅部分所占比例
=547.01*4000*90%=1969236(元)
4)计算宗地总价
宗地总价=商业用地总价+住宅用地总价
=353116+1969236=2322352(元)=232(万元)
宗地单价=用地总价/用地面积=2322352/4000=581(元/平方米)
 
13.某工业区土地开发完成后需要通过评估确定出让土地的底价。该开发区土地开发程度已达到“五通一平”(通路、通水、通讯、通电、排水,场地平整),可供出让的土地面积占开发区总土地面积的80%,土地出让年限为50年。
下面是估价调查所获得的其他资料:
征地补偿资料:该开发区周边地区近3年农作物的年平均亩产值为2000元,根据当地规定,征地时土地补偿费和安置补助费的总和取法律规定的最高值,青苗及地上物补偿费按当地农作物一年的产值计算。
征地过程中发生的相关税费:征地管理费,按照征地费总额的4%征收;耕地占用税,按5元/平方米征收;耕地开垦费,按10元/平方米计收。
土地开发成本及费用:开发区土地开发程度达到“五通一平”的开发费平均为90元/平方米。
假定土地开发周期为1.5年,开发费在开发周期内均匀投入;开发的投资回报率为15%,年贷款利率为8%,土地还原率为6%,50年期工业用地土地市场价格与成本价格的比率为120%,请根据上述资料计算土地单价。
 
正确答案:
1
1.解题思路与方法选用
根据题意,估价对象为新开发土地,且已给定征地成本、土地开发费用等资料,适宜选用成本逼近法进行评估。
2.解题步骤
(1)计算土地取得费及税费
土地补偿费和安置补助费的法定最高补偿标准为年产值的30倍,即为:
a.最高补偿标准:2000×30/666.67=60000/666.67=90(元/平方米)
b.青苗补偿及地上物补偿:2000/666.67=3.0(元/平方米)
c.征地费合计:90+3.0=93.0(元/平方米)
d.征地管理费:93.0×4%=3.72(元/平方米)
e.耕地占用税:5元/平方米
f.耕地开垦费:10元/平方米
g.土地取得费及税费=93.0+3.72+5+10=111.72(元/平方米)
(2)土地开发费
土地开发费=90元/平方米
(3)投资利息
投资利息=111.72×[(1+8%)l.5-1]+90×[(1+8%)0.75-1]=19.02(元/平方米)
(4)投资利润
投资利润=(111.72+90)×15%=30.26(元/平方米)
(5)计算土地成本价格
成本价格=111.72+90+19.02+30.26=251.0(元/平方米)
(6)计算土地增值
根据题意,这里土地增值率取20%,则:
土地增值=251×20%=50.2(元/平方米)
(7)计算全开发区土地单位面积地价
全开发区土地单位面积地价:251.0+50.2=301.2(元/平方米)
(8)计算可出让土地单位面积地价
可出让土地单位面积地价:301.2÷80%=376.5(元/平方米)
即开发区50年期工业用地可出让土地使用权价格为376.5元/平方米。

百分百考试网 考试宝典

立即免费试用