发布时间:2012-07-25 共1页
| 一、案例分析题: |
1.2007年2月16日,受天星商贸发展公司委托,某评估公司对其拥有的部分不动产进行估价并进行资产核算。据委托方初步说明,估价对象土地于2003年2月16日通过出让方式取得,当时总面积为4908m2,2004年3月20日将批发零售部分转让出去,住宿餐饮部分2004年3月26日抵押给民生银行,抵押期限1年,后因还款纠纷于2005年6月6日被法院查封,2005年11月20日解除查封。另外,由于对土地面积存在疑义,委托方曾要求登记机关进行了重新认证和登记。为了查证土地的权属状况,土地登记机关给估价师展示了该土地的相关资料。下面是其中一份主要土地登记卡的抄写件,阅读后回答有关问题。![]() ![]() 问题(每小题5分): 1.由于估价师笔误,这份抄写件的关于填写的内容,出现了至少4处错误,请指出并将更正内容列在下面。 2.上述表格只是土地初始登记卡,一般情况下,如果土地权属发生变化,均会增加相应的登记卡,以记载相关情况。请根据委托方说明中的信息,判断该土地登记档案中可能还有其他哪些登记卡? 3.估价师调查中没有查到转让批发零售部分的收益,但是根据有关资料判断,估价对象所在区域商服地价水平在2003年2月16日至2004年3月20日之前没有变化,根据上述相关信息,测算2004年土地转让收益,并列出估算式(土地面积以建筑面积进行分摊,不考虑土地历史用途价值差异)。 4.估价师调查得知,估价对象所在区域商服基准地价为每建筑平方米3000元(基准日为2007年1月1日),其中,商业零售和住宿餐饮的修正系数分别为+7%和-4%。根据上述相关信息,判断该公司土地2008年7月1日价值,并列出估算式(不考虑区位、个别因素差异及时间因素)。 |
| 正确答案: 1.错误更正如下 (1)用途:综合-商业零售、住宿餐饮。 (2)证件种类:身份证→法人代码证。 (3)权属性质:出让→国有建设用地使用权。 (4)使用权类型:国有建设用地使用权→出让。 (5)使用年期:36年→40年。 (6)土地权属来源:协议方式→出让方式。 2.其他登记卡 (1)土地变更登记卡。 (2)土地注销登记卡。 (3)土地查封登记卡。 (4)土地更正登记卡。 (5)土地抵押登记卡。 3.测算2004年土地转让收益,并列出估算式(土地面积以建筑面积进行分摊,不考虑土地历史用途价值差异) 计算土地转让价值: 土地转让价值=(土地登记价值/土地总面积)×商业零售部分分摊土地面积 =(2454/4908)×1532 =766(万元) 4.判断该公司土地2008年7月1日价值,并列出估算式(不考虑区位、个别因素差异及时间因素) 土地现价=基准地价×(1+住宿餐饮的修正系数)×住宿餐饮部分建筑面积 =3000×(1-4%)×3376×3.12 =3033.54(万元) |
|
|
| 二、报告判读题: |
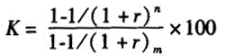
| 2.下面是一个完整的土地估价技术报告(标注“略”的为正常内容;不考虑排版格式的错误),阅读后请指出错误点并说明原因(每指出一处错误并简述原因的得1.25分,只指出错误不简述原因的不得分,总分最高为30分)。 (提示:第一、第二部分至少有15个错误点,第三、第四部分至少有22个错误点) 报告正文 土地估价技术报告 第一部分总述 一、估价项目名称 ××集团公司重组并在境内上市项目土地使用权价格评估。 二、估价目的 ××集团公司拟整体重组并境内上市。 据国土资源部《关于印发(国土资源部关于加强土地资产管理促进国有企业改革和发展的若干意见)的通知》(国土资发[1999]433号)、国土资源部《关于改革土地估价结果确认和土地资产处置审批办法的通知》(国土资发[2001]44号),××集团公司需对其下属××工程局位于××市的土地使用权价格进行评估。本次评估为其重组并在境内上市确定土地使用权价值。 三、估价依据 (一)国家有关部门颁布的法律法规及相关文件 1.《中华人民共和国土地管理法》(1998年8月29日第九届全国民代表大会常务委员会第四次会议修订) 2.全国人民代表大会常务委员会关于修改《中华人民共和国城市房地产管理法》的决定(2007年8月30日第十届全国人民代表大会常务委员会第二十九次会议通过) 3.《国务院关于深化改革严格土地管理的决定》(国发[2004]28号) 4.《国务院关于加强土地调控有关问题的通知》(国发[2006]31号) 5.关于印发《国土资源部关于加强土地资产管理促进国有企业改革和发展的若干意见》的通知(国土资发[1999]44号) 6.《关于改革土地估价结果确认和土地资产处置审批办法的通知》(国土资发[2001]433号) 7.关于印发《企业改制土地资产处置审批意见(试行)》和《土地估价报告备案办法(试行)》的通知(国土资厅发[2001]42号) 8.关于发布实施《全国工业用地出让最高价标准》的通知(国土资发[2006]307号) (二)地方有关部门颁布的法规及相关文件 1.××省人民政府、××市人民政府颁布的有关政策、规定、实施办法、通知等法规文件 2.《××省土地管理条例》 3.《××市土地利用总体规划》 4.《××市统计年鉴》 5.《××市关于土地级别与基准地价更新的通知》 (三)有关技术标准 1.《城镇土地估价规程》(GB/T18508-2001) 2.《城镇土地分等定级规程》(GB/T18507-2001) 3.中国土地估价师协会《关于印发(重大项目土地评估指引)的通知》(中估协发[2005]34号) 4.《土地规划分类》(GB/T21010-2007) (四)其他资料 1.委托方提供的有关产权、规划、登记、有关协议等资料 2.估价人员现场勘察、调查、收集的相关资料 四、估价基准日 二00七年六月三十日 五、估价日期 二00七年八月五日至二00七年十二月十五日 六、地价定义 根据估价目的及估价依据,结合委托方提供的资料及现场勘查情况,确定本次评估地价定义: 估价对象于评估基准日为出让土地使用权,评估中土地使用权类型按出让设定;估价对象土地使用权终止日期为2050年8月30日,土地使用年期按法定最高年期50年设定;估价对象的实际开发程度为红线外“六通”(通路、通电、通信,通气、供水、排水)、红线内“五通一平”(通路、通电、通信,供水、排水及场地平整),根据此次估价目的,评估中设定的土地开发程度为宗地红线外“六通”(通路、通电、通信,通气、供水、排水)、红线内场地平整。 综上,本次评估价格是指在现状利用条件下,满足上述使用年期、开发程度等各项评估设定条件,于评估基准日2007年6月30日的正常市场条件下的土地使用权价格。 七、估价结果 估价对象在估价设定用途、使用年限、开发程度和现状利用条件下,于评估基准日正常市场条件下的土地使用权价格为: 总地价:9876492元 大写:玖佰捌拾柒万陆仟肆佰玖拾贰元整(货币种类:人民币) 估价结果详见《土地估价结果一览表》(表略) 八、需要特殊说明的事项 (一)估价的前提条件和假设条件 1.现土地使用者合法取得土地使用权,并支付有关税费。 2.估价对象依法利用,并会产生相应的土地收益。 3.估价对象与其他生产要素相结合,能满足设定使用年限内经营管理的正常进行,保证公司的持续发展。 4.在估价基准日地产市场为公正、公开、公平的均衡市场。 5.任何有关估价对象的运作方式、程序符合国家、地方的有关法律、法规。 (二)估价结果和估价报告的使用 1.估价人员依据《城镇土地分等定级规程》撰写本估价报告,形成意见和结论。 2.本报告仅为本次评估目的服务,其估价结果仅用于本次评估目的时才有效。 3.本报告必须完整使用,对仅使用报告中的部分内容所导致的有关损失,估价机构不承担责任。 4.土地估价技术报告仅供委托方使用。 5.本估价报告和估价结果的使用权归委托方所有,由估价机构负责解释。 6.本报告的估价结果自评估报告提交之日起1年内有效。 (三)其他需要说明的事项 1.估价对象的土地利用状况等资料由委托方提供,委托方对所提供资料的真实性负责,估价机构不负责核实;土地区位条件、地产市场交易资料等评估相关资料由估价人员实地调查而得,估价机构对所收集资料的真实性、准确性负责。 2.报告中有关估价对象的土地权属状况、土地面积等以当地土地管理部门核发的《国有土地使用证》为准。 九、土地估价师签字 姓名 土地估价师资格证书号 签名 ××× ××××× (签字) 十、土地估价机构 估价机构负责人签字:(签字) ××评估有限公司(公章) 二00七年十二月十五日 第二部分估价对象描述及地价影响因素说明 一、估价对象描述 1.土地登记状况 估价对象的土地登记状况具体如下: 国有土地使用证号:×国用(2007更)第06—283号 宗地位置:××路××号 宗地编号:×× 地籍图号:×× 登记用途:办公 土地使用权类型:出让 土地使用权终止日期:2050年8月30日 土地总面积:9524.1m ![]() 四至:东至××,南至××,西至××,北至×× 土地级别:无证载。 2.土地权利状况 估价对象的土地所有权属于国家,土地使用者于2000年通过出让方式合法取得使用权,终止日期为2050年8月30日,剩余使用年限为43.2年。根据委托方提供的权属资料,各估价对象来源合法,产权清楚,无抵押等他项权利。 3.土地利用状况 估价对象所占用土地的总面积为9524.1m ,地上建筑物主要为办公楼(信息咨询中心),建筑面积为24393m ,地下2层,地上17层,建筑结构为框架结构,估价基准日未竣工,为在建工程,容积率为2.56。二、土地因素说明 (一)一般因素(略) (二)区域因素 待估宗地所处区域为××市政府驻地,是××市政治经济中心。区域人口约17万。区域内有混合型主干道××路、交通性主干道××路通过。该区域内交通便捷,出入方便。基础设施条件较完善,市政统一供水,供水保证率高;市内排水为雨污合流制;电力设施齐全,年供电量4亿kw/小时,电力供应充足;通信畅达,装机总容量15万门的程控电话,形成全天候、多功能现代化通信系统;区域内各用户单位自建锅炉供暖,不集中供暖。区域内多为行政事业单位、教育、金融机构及居民住宅小区,区域内的人口密度适中,环境质量较好。人文环境较好。根据城市规划,待估宗地所在区域无规划限制。 (三)个别因素(略) 第三部分土地估价 一、估价原则 (一)供需原则(略) (二)变动原则(略) (三)报酬递增、递减原则(略) 二、估价方法与估价过程 (一)估价方法选择 估价人员根据现场勘查情况,按照《城镇土地估价规程》的要求,结合估价对象的区位、用地性质、利用条件及当地土地市场状况来确定估价方法。 估价对象于估价基准日的实际用途为办公楼,设定用途为办公用途,一般可采用的评估方法有:市场比较法、基准地价系数修正法、成本逼近法,对于在建工程用地还可考虑假设开发法。由于当地基准地价完成于1991年,当地土地行政管理部门在1996年组织更新并公布实施,至今已有11年未更新,该基准地价修正体系已经不适于现行地价水平,故本次不宜采用基准地价系数修正法进行测算评估;估价对象为在建工程,具有预期收益,因此适宜选择假设开发法评估;同时,所在区域近期类似交易案例较多,能够比较客观地测算估价对象的价值,故适宜采用市场比较法进行测算。 所以,本次评估采取市场比较法和假设开发法测算估价对象土地使用权价格。在上述两种方法测算结果基础上,经综合分析,最终确定估价对象的地价。 (二)估价过程 1.采用市场比较法估价 市场比较法,是根据市场中的替代原则,将估价对象与具有替代性的,且在估价基准日近期市场上交易的类似地产进行比较,并对类似地产的成交价格做适当修正,以此估算价格的方法。计算公式如下: V=V ×A×B×C×D+E式中V-待估宗地价格; V -比较实例价格;A-估价对象交易情况指数/比较实例交易情况指数; B-比较实例交易期日地价指数/估价对象估价基准日地价指数; C-估价对象区域因素条件指数/比较实例区域因素条件指数; D-估价对象个别因素条件指数/比较实例个别因素条件指数; E-基础设施水平修正额。 (1)比较实例选择 通过调查分析,我们选择了近期发生交易的与估价对象条件类似的3个比较实例,选择实例情况见表1。 ![]() (2)因素选择与因素条件说明 根据估价对象的宗地条件,影响估价对象价格的主要因素有: 1)土地用途、交易期日、交易方式、交易情况和土地使用年期等。 2)区域因素:主要有区位和交通条件等。 3)个别因素:主要指宗地形状、容积率和地质承载力等。 4)基础设施状况:指红线外“几通”,红线内场地是否平整。 比较实例与估价对象各因素及其条件说明详见表2(略)。 (3)编制比较因素条件指数表 根据估价对象与比较实例各种因素具体情况,编制比较因素条件指数表。比较因素指数确定如下: 1)交易方式 估价对象的交易方式与比较案例一致,不需进行修正。 2)交易期日修正 根据估价对象所在区域的地价变化情况,确定比较案例和估价对象在不同时间的地价指数,见表3。 经调查××市区域综合用地在同类地区2006年全年与2007年上半年综合用地的市场平均价格相比较,2006年12月至2007年6月平均每月上涨0.5%。 ![]() 3)土地使用年期修正 当比较案例与估价对象的土地使用年期不一致时,需进行年期修正,以估价对象为100,年期修正公式如下: ![]() 式中K-比较实例的土地使用年期修正系数; r-土地还原率(按估价基准日时中国人民银行公布的一年期(含一年)存款利率3.06%,综合考虑通货膨胀,再加上一定的风险因素调整值,按7%计); m-估价对象土地使用年期; n-比较实例土地使用年期。 4)距区域中心距离:以估价对象距区域中心距离为100,每增加或减少1km,指数减少或增加2%。 5)距火车站距离:以估价对象距火车站距离为100,每增加或减少1km,指数减少或增加2%。 6)宗地形状:分为不规则、较规则、规则三等级,以估价对象形状为100,每上升或下降一个等级,指数上升或下降2%。 7)容积率:以估价对象容积率修正指数为100,比较实例的容积率与其相比,每增加或减少0.5,指数减少或增加0.5%。 8)地质承载力:分为适宜、较适宜、不适宜三个等级,以估价对象目前适宜指数为100,每上升或下降一个等级,指数上升或下降2%。 9)基础设施状况:依据当地基础设施状况,开发水平修正额见表4。 ![]() 根据上述说明,确定比较因素条件指数如表5(略)。 (4)计算比准价格 根据比较因素条件指数表,可制定估价对象的比较因素修正系数表,依据市场比较法的基本公式,测算估价对象的比准价格见表6。 ![]() ![]() 经过比较分析,3个比准价格比较接近,故取3个比准价格的简单算术平均值作为市场比较法测算估价对象的评估价格: 评估价格=(952.22+1108.11+1052.22)/3 =1037.5(元/m )2.采用假设开发法估价 假设开发法,是在不动产开发完成后房地产价值的基础上,扣除预计的正常开发成本及有关专业费用、利息、利润和销售税费等,以价格余额来估算估价对象价格的方法。公式如下: 地价=目前不动产总价一开发成本一投资利息一投资利润一销售税费 (1)确定土地的最佳利用方式 估价对象地上建筑物拟建为信息咨询中心办公楼,据委托方提供资料及估价人员现场调查,该办公楼在估价基准日已完成主体构建及外部装饰装修工程,计划于2008年3月底竣工验收,土地证记载用途为办公楼,该宗地符合规划,建筑容积率为2.56,建筑结构为框架结构, 为土地的最佳利用方式。 (2)预期不动产总价 该区域不动产单价为2516元/m ,建筑物的总面积为24393m 。则:预期不动产总价=24393×2516 =6137.28(万元) (3)建筑物开发成本 1)建造成本 根据《××省建筑工程预算综合基价》及估价人员对当地房地产类似建筑的建造成本的调查,综合分析确定,砖混结构1300元/m 。2)专业费用 专业费用包括立项、可行性研究、勘察、规划、设计、评估等费用,按建造成本的11%确定。 故: 专业费用=建造成本×11% =143(元/m )所以,建筑物开发成本=(建造成本+专业费用)×土地面积 =3519.91(万元) (4)投资利息 以上述建筑物开发成本及地价的合计为基数,结合开发项目的投资规模,开发周期为2年,利息率按评估基准日中国人民银行公布的一年期贷款(含一年以下)利息率6.57%计,开发成本费用均匀投入,计息期为开发期的一半,地价是一次性投入,计息期为整个开发周期,按复利计息,贷款利息为: 投资利息=地价×[(1+利息率)开发周期-1]+建筑物开发成本×[(1+利息率)×开发周期/2-1] =地价×[(1+6.57%) -1]+3519.91×[(1+6.57%)×2/2-1]=地价×0.1357+231.26(万元) (5)投资利润 开发项目正常利润一般以不动产总价一定比例计算。根据估价人员的实地调查,开发类似办公楼房地产开发期一般为2年,待估宗地所在区域内开发办公楼房地产的平均利润率为18%,本次评估投资利润率为18%。 投资利润=(地价+建筑物开发成本)×投资利润率 =(地价+3519.91)×18% =地价×0.18+633.58(万元) (6)交易税费 在销售过程中支出的费用主要有: 1)营业税及附加:包括①营业税,营业税按不动产售价的5%计;②城市建设维护税,按营业税税额的7%计;③教育费附加,按营业税税额的3%计。 2)买卖手续费:按不动产总价的0.2%支付。 3)广告宣传及代理费:按不动产总价的1.5%计。 则,交易税费=不动产总价×7.2% =6137.28×7.2% =441.88(万元) (7)计算待估宗地总地价 将上述各项代入公式: 地价=预期不动产总价-开发成本-投资利息-投资利润-交易税费 =6137.28-3519.91-(地价×0.1357+231.26)-(地价×0.18+633.58)-441.88 =1154.05(万元) (8)计算宗地单位面积地价 单位面积地价=总地价/土地面积 =11540500/9524.1 =1211.72(元/m )三、地价的确定 1.地价确定的方法 估价对象运用市场比较法评估结果为1037.5元/m ,运用假设开发法评估结果为1037.1元/m 。结合估价对象实际情况,两种估价方法分别从不同侧面反映了估价对象的地价水平。市场比较法测算结果反映估价对象所在区域的现实价值;假设开发法测算结果反映估价对象在规划用途的未来客观价格。由于两种方法测算结果相差较小,经综合分析,采用两种方法测算结果的算术平均值取整,确定待估对象的最终评估价格。 土地单价=(1037.5+1211.72)/2 =1124.61(元/m )2.估价结果 估价对象在估价设定的用途、使用年限,设定的开发程度和利用条件下,于评估基准日正常市场条件下的土地使用权价格为: 土地总面积:9524.1m ![]() 土地单价:1124.61元/m ![]() 总地价:11540459.6元 大写:壹仟壹佰伍拾肆万零肆佰伍拾玖元陆角 第四部分附件 附件1:估价对象区域位置示意图 附件2:估价对象现状利用照片 附件3:土地估价委托书复印件 附件4:估价机构营业执照复印件 附件5:估价机构资质证书复印件 附件6:土地估价师资格证书复印件 |
| 正确答案: (1)总述内容不全,缺少委托方、受托估价方。 (2)估价目的中确定价值错误。 (3)《中华人民共和国土地管理法》引用错误,2004年8月28日该法已经修订。 (4)《全国工业用地出让最高价标准》错误,应为《全国工业用地出让最低价标准》。 (5)有关技术标准中《土地规划分类》应为《土地利用现状分类》。 (6)地价定义不全,缺少土地用途的设定。 (7)土地使用年期设定错误,不该是法定最高使用年期,实际剩余使用年期为43.2年。 (8)估价结果表述不全,缺少土地单价。 (9)报告撰写的依据不准确,应依据《城镇土地估价规程》。 (10)土地估价技术报告提交对象错误,提供给委托方仅为土地估价报告,土地估价技术报告不提供给委托方。 (11)其他需要说明的事项中,估价机构不负责核实是错误的。 (12)缺少估价师签字,至少要两名土地估价师签字。 (13)土地登记状况不全,缺少土地权利人登记信息。 (14)标题名称不符,应为地价影响因素分析。 (15)区域因素分析缺项,还应包括通气、公共配套设施等内容。 (16)估价原则不全,缺少合法原则、运用假设开发法需要最有效利用原则。 (17)方法选择错误,办公楼具有收益性,不适宜运用成本逼近法。 (18)采用市场比较法估价过程中,公式V=V ×A×B×C×D+E不正确。(19)公式错误,分子分母颠倒了,B应为估价对象估价基准日地价指数/比较实例交易期日地价指数。 (20)比较案例描述缺项:土地用途内涵是否一致未作说明,位置没有说明。 (21)地价指数确定不清:未对地价指数的基准日期进行说明,地价增长缺依据。 (22)公式 。(23)容积率修正确定缺乏依据:应说明如何确定容积率修正系数。 (24)采用假设开发法估价中,地价应=预期不动产价格-开发成本-投资利息-投资利润-销售税费。 (25)预期不动产价格确定缺乏依据,应阐明预期不动产价格的依据。 (26)建筑物开发成本内容不全:缺少不可预见费等。 (27)建筑结构与土地利用状况中描述矛盾:根据前述介绍,该建筑为框架结构。 (28)建筑物开发成本=(建造成本+专业费用)×土地面积不正确。建筑物开发成本计算应用建筑面积。 (29)利率计算期错误:开发期为2年。利息率取一年期不正确。 (30)公式错误:前述按复利计算,投资利息=地价× +建筑物开发成本× 。(31)投资利润计算基数前后矛盾:是以不动产总价还是投资的一定比例计算,前后应保持一致。 (32)计算总地价不准确:应扣除取得土地时支付的相关税费等。 (33)地价确定的方法中所述的,假设开发法测算结果反映估价对象在规划用途的未来客观价格是错误的。 (34)开发程度和利用条件不应该是设定的。 (35)估价结果表述错误:大写没有货币单位,没写币种。 (36)附件不全:附件中缺少估价对象《国有土地使用证》复印件。 (37)附件不全:附件中缺少委托估价方营业执照或法人代表身份证复印件。 |
|
|
| 3.以下是一份估价技术报告关于成本逼近法估价的片断(标注“略”的为正常内容),阅读后回答所提问题。 “(一)采用成本逼近法估价 1.土地取得费 估价师调查了估价对象所在区域征用同类用地所支付的土地取得费用案例,计算平均值为92.25元/m 。根据当地制定的征地区片价,估价对象所在区片的补偿标准为80元/m ,考虑到估价对象的具体位置和条件,确定估价对象土地取得费为90YE/m 。2.有关税费 A.土地管理费 根据××省财政厅、××省土地管理局《征地管理费、建设用地批准书工本费纳入预算管理暂行办法》([1995]×财农字第82号)规定,“土地管理费按征地费总额的2%征收”,确定估价对象土地管理费为1.8元/m 。B.耕地占用税 根据《××省耕地占用税实施办法》(×政[1987]119号),耕地占用税为8元/m 。C.耕地开垦费 根据《××省土地管理条例》第29条,在10~15元/m 的征收范围,本次评估过程中,按10元/m 征收耕地开垦费。有关税费=A+B+C=19.8元/m![]() 3.土地开发费 估价对象已经达到宗地红线外“六通”宗地内平整的状态,根据××市国土资源局提供的资料及《××省××市城区土地定级估价更新报告》,并参考周围地区的土地开发实际发生费用情况,确定土地开发费用为85元;/m 。4.投资利息 投资利息的本质是体现资金的时间价值,在取得土地及开发过程中,资金的投入应考虑其时间价值,在土地评估中投入资金的利息应计入投资成本。 通过调查了解,平均开发期限确定为1年,投资利息率取估价期日2006年12月31日的一年期银行贷款利率6.12%,土地取得费及税费为一次性投入,土地开发费用为均匀投入,投资利息计算如下: 投资利息=(土地取得费+有关税费)×开发周期×6.12%+土地开发费×开发周期×1/2×6.12% =(90+19.8)×1×6.12%+85×1×1/2×6.12% =9.32(元/m )5.投资利润 通过调查当地土地开发及投资状况,成本逼近法中利润计算的基数包括土地取得费、各项税费和土地开发费。通过对估价对象所在区域内的工业用地实际开发情况,工业用地开发的利润率一般为10%左右,则估价对象投资利润为:投资利润=(土地取得费+有关税费+土地开发费)×10%=19.48(元/m )6.土地增值收益 根据土地管理部门提供的资料,当地土地增值收益一般按成本价格(土地取得费及有关税费、土地开发费、投资利息、投资利润四项之和)的10%~30%计,考虑到估价对象所在区域的经济发展水平和土地市场的发育程度,本次评估中估价对象土地增值收益率按15%计。根据土地增值收益公式: 土地增值收益=(土地取得费+土地开发费+有关税费+投资利息+投资利润)×15% =33.54(元/m )7.无限年期土地使用权价格 该宗地无限年期土地使用权单位面积地价为: 土地单价=1+2+3+4+5+6 =90+19.8+85+9.32+19.48+33.54 =257.14(元/m )8.区位修正 成本逼近法测算过程中土地取得费和相关税费、土地开发费、利息、利润、土地增值收益等均为估价对象平均的客观价格,有必要对其进行微观区位因素修正。 估价人员认为,对本次估价对象的区位修正采用基准地价修正体系比较恰当,综合分析后 确定,区位修正系数确定为6.64%。 则:区位修正后土地使用权价格=257.14×(1+6.64%) =274.21(元;/m )9.有限年期土地使用权价格 根据有限年期地价测算公式: ![]() 式中V -估价对象N年期土地使用权价格(元/m );V -无限年期土地使用权价格(元/m );r-土地还原率取6%(按估价基准日中国人民银行公布的一年期(含一年)存款利率2.52%,综合考虑通货膨胀,再加上一定的风险因素调整值,按6%计); N-剩余土地使用年期。 运用上述公式,有限年期土地使用权单价=253.3(元/m )。”问题(每小题3分): 1.成本逼近法一般适用于征收新开发土地的估价,也比较适用于市场发育不成熟的城市边缘地带土地,或者是没有直接收益的土地估价。本案例为工业用地,请根据土地现状分类标准二级类,列举除工业用地以外的,至少5个适用成本逼近法估价的地类。 2.上述案例在计算土地取得费用时,使用的是案例综合数据,在实际操作中,需要对案例的数据进行分解归类分析,依照现行法律,上述案例数据可以分解为哪几大类? 3.上述案例中,土地取得费的计算结果要高于征地区片价,请从区片价的特点简述可能的原因。 4.上述案例中确定的土地开发费用为85元/m ,实际上是由多个单项工程支出构成,请列出土地开发中可能的单项工程。5.上述案例中区位修正运用了基准地价系数修正体系,请列出该体系中可能有的影响工业地价的区域因素。 |
| 正确答案: 1.根据土地现状分类标准二级类,除工业用地以外,有下列适用成本逼近法估价的地类 (1)采矿用地。 (2)仓储用地。 (3)机关团体。 (4)科教。 (5)医院卫生慈善。 (6)新闻出版。 (7)文体娱乐。 (8)公共设施。 (9)公园绿地。 2.依照现行法律,上述案例数据可以分解为下列几大类 (1)土地补偿费。 (2)青苗补偿费。 (3)劳动力安置补偿费用。 (4)地上物补偿。 (5)社会保障。 3.上述案例中,土地取得费的计算结果要高于征地区片价,从区片价的特点简述可能的原因 (1)征地区片价不包括青苗补偿。 (2)征地区片价不包括地上物补偿。 (3)估价对象人均耕地面积较低。 (4)估价对象土地质量较好。 (5)估价对象区位条件好。 (6)人均收入水平高。 (7)人均生活水平高。 (8)人均社会保障水平高。 (9)区片价只是实际补偿的基础。 4.土地开发中可能的单项工程 (1)通路。 (2)通电。 (3)通信。 (4)供水。 (5)排水。 (6)通气(暖气、热力、燃气)。 (7)土地平整。 5.该体系中可能有的影响工业地价的区域因素 (1)工业区用地类型。 (2)产业聚集效益。 (3)工厂与原料和市场的配合。 (4)道路级别。 (5)过境公路连接状况。 (6)距火车站的距离。 (7)环境质量优劣状况。 (8)区域土地利用限制。 (9)基础设施状况。 |
|
|
| 4.以下是一份估价技术报告关于估价方法选择的片断(标注“略”的为正常内容),阅读后回答所提问题。 “二、估价方法与估价过程 (一)方法选择 根据《城镇土地估价规程》的要求,此次估价中每宗土地至少选用两种估价方法进行估价,然后在两种方法的估价结果上,结合土地市场价格水平,采用适当的方法确定最后的评估价格。此次估价的四宗土地中,前三宗土地在同一个区域之内,均为生产经营配套的附属设施用地用途,具有很强的相似性,可以采用相同的方法估价;第四宗地为工业用地,单独选择方法估价。 根据估价目的和估价原则,前三宗土地可以选择用市场比较法、基准地价系数修正法进行估价,第四宗地采用基准地价系数修正法和成本逼近法进行估价,理由如下: (1)本次估价目的为企业重组改制,需要确定土地资产的独立市场价值,前三宗地也能够在目前市场条件下自由流动,且完全具有交易条件,估价应该优先选择市场比较法。分析估价师调查的资料,前三宗地所在区域具有类似的市场交易,并且发生在近期1至2年之内,可以作为比较案例使用,所以具备采用市场比较法估价的条件。 (2)第四宗地用途为工业,是2005年新征的土地,周边也是大规模新开发的土地,但市场并不发育,专业人士对该地区土地价值的看法,更多体现在土地取得及开发成本和未来适当的增值,所以适合采用成本逼近法估价;由于第四宗地是2005年新征的土地,估价师调查也收集到周边很多新的征地案例,采用成本逼近法具有可行性。 (3)通过对前三宗地及第四宗地的分析,前三宗地位于A市中心区域,第四宗地位于A市城乡结合部,均在城市基准地价覆盖范围之内。根据估价师的调查分析,在估价时点,四宗地所在的市场条件及自身的市场状态符合A市基准地价的基本没定,匹配性好,具有一定的替代性。估价师对A市基准地价的合法性和现时性进行了调查,情况表明,A市基准地价由A市政府于2007年1月公布,文件名称为《A市人民政府关于印发<A市国有土地有偿使用规定>的通知》,文号为(A政发[2007]19号),在合法的有效使用期内;A市基准地价制定后没有发生重大的城市建设调整,也没有大的市场变化,其现时性较好,完全可以据此进行宗地估价。另外,从本次估价目的看,交易量规模较大,并且竞争性一般,对市场未来要求一定的稳定性,这与基准地价的特点很接近,所以这四宗地使用基准地价系数修正法估价是非常适当的。估价中未能采用假设开发法和收益还原法,理由如下: 前三宗地由于是中国YJKG集团公司生产经营配套的附属设施用地,没有直接的收益,市场收益性特征不强,找不到具有替代性用地或者收益,并且该公司对这一类资产没有建立独立的收益核算体系,难以判断和确定其土地收益或整体收益,因此不宜采用收益还原法估价,也不具备采用收益还原法估价的条件。第四宗地由于刚刚开发完成,尚未正式投入使用,设备等也刚刚开始安装,没有产生收益的条件。周边的工业用地没有同类生产企业,无法确定替代的收益,所以也不适合采用收益还原法估价,也不具备采用收益还原法估价的条件。由于四宗地的估价目的均为企业重组改制,不改变未来土地使用条件,不属于投资开发的土地,对于预期的开发价值难以判断,不适宜采用剩余法评估。前三宗地由于位于建成区中的老城区,不属于新开发完成区,因此不适宜运用成本逼近法评估。 本次采用的市场比较法、基准地价系数修正法和成本逼近法的估价基本原理如下: (1)市场比较法的基本原理。 市场比较法,是根据市场中的替代原理,将估价对象与具有替代性的,且在估价基准日近期市场上交易的类似地产进行比较,并对类似地产的成交价格做适当修正,以此估算估价对象客观合理价格的方法。其计算公式为: V=V ×A×B×C×D式中V-估价宗地价格; V -比较实例价格;A-估价对象交易情况指数/比较实例交易情况指数; B-估价对象估价基准日地价指数/比较实例交易期日地价指数; C-估价对象区域因素条件指数/比较实例区域因素条件指数; D-估价对象个别因素条件指数/比较实例个别因素条件指数。 (2)基准地价系数修正法的基本原理。 基准地价系数修正法是利用城镇基准地价和基准地价修正系数表等评估成果,按照替代原则,对估价对象的区域条件和个别条件等与其所处区域的平均条件相比较,并对照修正系数表选取相应的修正系数对基准地价进行修正,进而求取估价对象在估价基准日价格的方法。基准地价系数修正法计算公式为: 宗地价格=宗地所处区域基准地价×(1+∑K )×相关修正系数式中∑K -影响地价的个别因素修正系数之和。(3)成本逼近法的基本原理。 成本逼近法是以土地取得费、土地开发所耗各项费用之和为主要依据,再加上一定的利润、利息、应缴纳的税金和土地使用权出让金或土地增值收益来确定土地价格。其计算公式为: 土地价格=土地取得费+土地开发费+土地税费+投资利息+投资利润+土地增值收益 其中: 土地取得费,指征用农地或者购买土地的费用,包括土地补偿和人员安置补偿及相关税费; 土地开发费,指为使土地达到能够使用状况的改良投入,比如平整费用、道路修建费用、水电费用等; 土地税费,是指征地中发生的相关税费,比如耕地占用税、菜田基金等,各地不同; 投资利息,指土地取得费及土地开发费实际投入资金按照当时利息率计算的利息,是一种机会利息,或者是利息损失,开发商或土地购买者并不需要另外支付; 投资利润,指以土地取得费及土地开发费的投入量为基础,按照土地开发市场平均收益率计算的利润; 土地增值收益,指集体土地转变为国有土地后在各种因素作用下带来的土地增值,以土地取得费及土地开发费为基础计算。 (二)估价过程(略)” 问题(每小题3分): 1.这段关于估价方法选择的叙述比较完整。参照这段叙述并结合你自己的理解,用最简洁的语言进行总结,估价报告中关于估价方法选择的叙述一般应该包括哪几方面? 2.从上述内容看,一宗土地的具体估价方法的选择需要考虑哪些方面的因素? 3.以上述内容为基础,用简短的语言说明,决定选择基准地价系数修正法估价之前,一般需要对其进行哪几个方面的分析和考察? 4.上述内容选择了成本逼近法。你认为成本逼近法中,关于土地增值收益的来源,一般表现在哪几个方面? 5.在基准地价系数修正法计算公式中,除正常的个别因素修正外,还有相关修正一项,根据你的经验,一般包括哪些方面的内容? |
| 正确答案: 1.估价报告中关于估价方法选择的叙述一般应该包括的方面 (1)说明方法选择总的思路。 (2)列出选择的方法。 (3)说明所选方法的理由。 (4)说明未选方法的理由。 (5)对所选方法基本原理进行介绍。 2.从上述内容看,一宗土地的具体估价方法的选择需要考虑以下几方面的因素 (1)估价目的。 (2)估价原则。 (3)估价方法使用的条件。 (4)估价对象的自身情况。 (5)估价对象所在市场状况。 3.需要对其进行以下几个方面的分析和考察 (1)基准地价是否覆盖估价对象。 (2)基准地价设定的市场条件是否与估价对象所在的市场条件近似。 (3)基准地价内涵设定是否与宗地自身条件近似(内涵)。 (4)基准地价是否在合法使用期内。 (5)基准地价现时性是否较好。 (6)估价目的所反映的竞争性一般,与基准地价的特点接近。 4.成本逼近法中,关于土地增值收益的来源,一般表现在以下几个方面 (1)所有权的变化。 (2)用途的变化。 (3)开发程度的变化。 (4)投资集约度的变化。 (5)相对区位条件的变化。 5.一般包括以下几方面的内容 (1)用途修正。 (2)年期修正。 (3)时间修正。 (4)开发程度修正。 (5)估价目的修正。 (6)土地容积率修正。 (7)权益状况修正。 |