发布时间:2012-07-25 共1页
| 一、单项选择题: |
| 1.地价整体状况分析和判断是土地估价师要具备的基本能力。假定甲城镇和乙城镇相邻且规模相当,如果甲的GDP增长率为9%,乙为7%,甲的城市建设用地面积增长率为7%,乙为5%。根据这一情况分析,以下判断中正确的是( )。 |
| 正确答案:C |
|
|
| 2.某企业拟向政府承租某宗工业用地20年的国有土地使用权。在进行土地估价时,经调查获知以下数据:一年期国债利率4.20%,一年期银行定期贷款利率5.23%,一年期银行活期存款利率4.56%,五年期银行定期贷款利率6.12%。若该地区风险调整值为1%,则估价师对该宗地评估时应确定的土地还原率为( )。 |
| 正确答案:A |
|
|
| 3.关于城镇基准地价更新的技术思路,下列说法正确的是( )。 |
| 正确答案:B |
|
|
| 4.不同用途土地估价的技术路线应该根据具体情况确定,下列说法中不正确的是( )。 |
| 正确答案:C |
|
|
5.在城镇土地定级因素量化过程中,下列关于公式 的说法中,不正确的是( )。 |
| 正确答案:C |
|
|
| 二、多项选择题: |
| 6.根据《城镇土地估价规程》的规定,我国城镇基准地价评估的任务有( )。 |
| 正确答案:ABC |
|
|
| 7.以下关于基准地评估区段划分的具体做法正确的是( )。 |
| 正确答案:ABCE |
|
|
| 8.关于区域因素对地价的影响中,以下说法正确的有( )。 |
| 正确答案:BD |
|
|
| 9.关于运用市场比较法对不同用途土地进行估价应注意的事项,下列观点正确的有( )。 |
| 正确答案:ACD |
|
|
| 10.基于下列目的的地价评估中,评估结果能够体现土地在市场上客观价格水平的有( )。 |
| 正确答案:BDE |
|
|
| 三、情景分析题: |
| (11-15题共用题干) |
2005年5月,某城市拟以招标、拍卖或挂牌的方式出让一宗已达到“七通一平”开发程度的国有空地,土地总面积10000m ,批准用途为居住,使用年限70年。土地形状规则,宗地修建性详细规划主要控制指标为:2.0≤建筑容积率≤3.0,40%≤建筑覆盖率≤50%。根据调查,该宗地所在区域房地产市场规范有序,预测未来3~4年房地产市场价格年平均上涨比率为2%,已建成销售的居住房地产项目用地平均容积率2.8,平均建筑覆盖率31%,平均开发周期2年,建成后即可全部售出,楼层在8层以上的小高层商品房平均售价为8000元/m 。楼层在8层以下的多层商品房平均售价为6000元/m。,平均建筑费和专业费1000元/m ,贷款年利率6%,销售税费一般为房地产总价的6%,开发利润率一般为房地产总价的30%。根据以上材料回答51~55小题的问题。 |
| 11.根据上述条件,估价人员适合选择的估价方法有( )。 |
| 12.根据估价的目的,对确定土地估价原则和估价时所依据的土地利用条件,下列观点最恰当的是( )。 |
| 13.根据上述条件,在开发完成后,该宗地房地产最可能实现的最大价值是( )。 |
| 14.该宗国有土地使用权公开出让价格评估结果最可能为( )。 |
| 15.房地产开发商甲于2005年6月16日竞价成功获得一宗地国有土地使用权,并于2005年6月28日与当地国土部门签订出让合同,2005年7月29日取得国有土地使用证。2006年7月26日,经批准,甲获准在原基础上增加商业用途,则其应补交土地差价的估价期日可确定为( )。 |
| 正确答案:11.BC;12.ABC;13.D;14.C;15.AB |
|
|
| 四、计算题: |
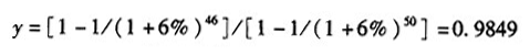
| 16.某公司在S市开发区拥有一块工业用地,拟在2006年7月1日通过土地使用权抵押贷款,试根据下面的资料估算该宗地于贷款日期的单位价格和总价格。 土地情况:该土地通过征用后出让获得,当时征用时包括代征的500m 绿化用地在内总面积共计5500m 。土地出让手续于2002年7月1日办理,当时获得的使用年期为50年,允许的建筑面积为6000m ,红线外基础设施条件为“五通”(通上水、通下水、通路、通电、通信),红线内基础设施条件为“五通一平”(通上水、通下水、通路、通电、通信,场地平整)。由于市政建设需要,在该地块红线内靠近绿地有2m宽、60m长的地带下埋有高压电缆,土地出让时已经按照500元/m在出让价中扣减(该扣减数额是当地同类问题补偿标准,近几年未进行调整)。其他有关资料如下。 (1)以2003年7月1日为基期,该市工业用地价格在2003年7月1日至2006年7月1日期间,平均每月上涨0.5%。 (2)该市2005年7月1日公布并执行国有土地基准地价的更新成果。基准地价的估价期日为2005年1月1日;基准地价为各类用途在法定最高出让年期,各级别土地平均容积率和平均开发程度下的土地使用权区域平均价格。 (3)根据基准地价更新成果,得知该宗地位于五级工业地价区,基准地价水平为500元/m ,土地开发程度设定为红线外“五通”(通上水、通下水、通路、通电、通信)、红线内“场地平整”;红线内每增加一通,土地开发费平均增加10元/m 。(4)根据基准地价因素条件说明表和优劣度表,计算得该宗地地价影响因素总修正幅度为5%。 (5)该市五级工业用地的平均容积率为1.0,对应的地价水平指数为100。根据容积率修正系数表,平均容积率修正系数为1.0,容积率每增高或降低0.1,均向上修正2%。 (6)土地还原率为6%。 (7)基准地价系数修正法公式为:待估宗地地价=宗地对应的基准地价×(1+影响因素修正幅度)×年期修正系数×期日修正系数×容积率修正系数+土地开发程度修正额。 |
| 正确答案: 1.解题思路与方法选用 根据题意,估价对象处于基准地价覆盖区域,且有较完整的基准地价系数修正体系,适宜选用基准地价系数修正法进行评估。 2.解题步骤 (1)确定宗地所在土地级别及基准地价水平。 该宗地处于五级工业地价区,基准地价水平为500元/m 。(2)确定宗地影响因素修正系数。 根据本题所提供的资料,得知该宗地地价影响因素总修正幅度为5%。 (3)确定年期修正系数。 评估基准日为2006年7月1日,该宗地2002年7月1日办理土地出让手续,出让年期为50年,估价期日土地的剩余使用年期为46年,工业用地法定最高出让年期为50年,土地还原率为6%,则使用年期修正系数为: ![]() (4)确定期日修正系数。 该市工业用地价格在2003年7月1日至2006年7月1日期间,平均每月上涨0.5%。基准地价的估价期日为2005年1月1日,宗地估价期日为2006年7月1日,则: 期日修正系数:(1+0.5%) =1.0939(5)确定容积率修正系数。 根据本题所提供的资料,五级工业用地的平均容积率为1.0,对应的容积率修正系数为1,以此为基准,容积率每增高或降低0.1,均向上修正2%。 待估宗地容积率=建筑面积/土地面积=6000/5000=1.2 容积率修正系数=1+2×2%=1.04 (6)土地开发程度修正。 该宗土地开发程度为红线外“五通”,红线内“五通一平”,与基准地价内涵不一致,需进行宗地开发程度修正。 开发程度修正额=10×5=50(元/m )(7)计算宗地价格。 待估宗地单位地价=宗地对应的基准地价×(1+影响因素修正幅度)×年期修正系数×期日修正系数×容积率修正系数+开发程度修正额 =500×(1+5%)×0.9849×1.0939×1.04+50 =638(元/m )宗地总价=638×(5500-500)/100000=319(万元) (8)地下电缆减价修正。 地下电缆减价=500×60=3(万元) 最后地价=319-3=316(万元) |
|
|
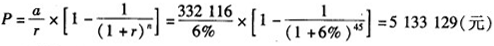
17.甲公司于2001年6月通过拍卖竞得一宗位于K市中心区的土地50年使用权。该宗土地面积为800m ,经开发于2002年6月建成一座建筑面积为950m 的写字楼,并全部用于出租。为了解资产状况,甲公司于2006年6月委托土地评估机构进行估价,要求评估土地价值以及土地与建筑物一体的价值。评估机构调查资料显示,当时K市中心区同类写字楼月租金为50元/m (建筑面积),管理费支出为租金的5%,年支付各项税金平均为35元/m (建筑面积)。除管理费外,还需支出维修费、保险费等。假定该写字楼建筑物的重置价为1600元/m ,残值为零,年支出维修费为重置价的2%,年支出保险费为重置价的0.2%,土地还原率为6%,建筑物还原率为8%,估价基准日定为2006年6月30日。请根据以上资料进行估算(需提供总价和单价)。 |
| 正确答案: 1.解题思路与方法选用 估价对象为有收益的房地产,且有客观收益和出租费用等资料,适宜选用收益还原法进行评估。 2.解题步骤 (1)计算房地年总收益。 50×950×12=570000(元) (2)计算房地年总费用。 ①管理费=50×950×12×5%=28500(元) ②维修费=1600×950×2%=30400(元) ③保险费=1600×950×0.2%:3040(元) ④税金:35×950=33250(元) ⑤折旧费=1600×950/(50-1)=31020(元) ⑥房地年总费用=①+②+③+④+⑤ =28500+30400+3040+33250+31020 =126210(元) (3)计算建筑物年纯收益。 建筑物年纯收益=建筑物现值×建筑物还原率 =(建筑物重置价-年折旧费×已使用年限)×建筑物还原率 =(1600×950-31020×4)×8% =111674(元) (4)计算土地年纯收益。 土地年纯收益=房地年总收益-房地年总费用-建筑物年纯收益 =570000-126210-111674 =332116(元) (5)计算2006年6月的土地点价格。 ![]() 土地单位价格:5133129/800=6416(元/m )(6)建筑物现值。 建筑物现值=建筑物重置价-年折旧费×已使用年限 =1600×950-31020×4 =1395920(元) (7)土地及建筑物一体总价格。 土地及建筑物一体总价格=土地总价格+建筑物现值 =5133129+1395920 =6529049(元) =653(万元) 土地及建筑物一体单价:6529049/800=8161(元/m ) |