2012年土地估价师考试仿真试题(十)

发布时间:2012-07-25 共1页

仿真试题(二)
一、案例分析题:
1.某地价评估事务所2006年5月20日接到A市政府的估价口头委托,估价对象是位于城区一环内侧某中学老校址所占的土地。该校于1963年建成,现已根据政府安排整体迁出,所占土地为划拨方式取得。搬迁后的土地由政府收回后重新开发利用,并将土地的规划用途依法调整为商品住宅楼。目前,政府拟以公开拍卖方式出让该地块,并将按照一定的价格补偿给该中学。根据委托要求,地价评估事务所要对该地块的出让底价与收回补偿价格进行评估。接到委托后,事务所立即制订了一项工作计划和技术方案,并组织力量开展工作,按期完成了估价任务。
(1)下面是该事务所此次估价工作日志的内容。
1)5月21日,启动估价工作,派两名土地估价师甲、乙和两名估价助理丙、丁负责估价工作。其中,甲和丙负责土地出让底价评估,乙和丁负责土地收回补偿价格评估。
2)5月21日上午,甲和丙进入现场调查,乙和丁开始市场调查。
3)5月22日上午,因所长外出,甲负责与市国土资源局签订合同。
4)5月23日上午,确定土地估价事项,并制订评估技术路线和方法。
5)5月23日下午,开始调查资料。
6)5月25日上午,开始撰写报告。
7)5月27日上午,报告完成,两份报告分别由甲、乙共同签字,由丙送估价报告给市国土资源局。
8)5月30日上午,收到国土资源局付款。
(2)关于评估技术路线和方法,日志有以下记录。
1)出让底价主要依据周边拍卖价格进行比照确定,同时采用剩余法进行评估。
2)收回补偿价格评估主要采用市场比较法和收益还原法对原用途市场价进行评估。
请阅读上述事件后回答以下问题。
1.仅就工作日志内容,判断事务所此次估价工作流程是否合理,存在哪些问题?
2.确定土地估价事项的内容一般包括哪些?
3.确定估价事项时,应该如何对土地出让底价和回收价格进行基本的定义?
4.日志中的估价技术路线是否合理?如果不合理,原因何在?
5.假如你是估价师,该如何设计估价技术路线? 
 

1.仅就工作日志内容,判断事务所此次估价工作流程是否合理,存在哪些问题?
2.确定土地估价事项的内容一般包括哪些?
3.确定估价事项时,应该如何对土地出让底价和回收价格进行基本的定义?
4.日志中的估价技术路线是否合理?如果不合理,原因何在?
5.假如你是估价师,该如何设计估价技术路线?
 
正确答案:
1.不合理。存在的问题如下。
(1)每项估价必须有至少两名土地估价师,而不是一名土地估价师和一名估价助理。
(2)两项估价应该独立进行,而不能分工合作调查,估价师应该贯穿估价的全部过程。
(3)应该先签订合同再进行实质性估价活动。
(4)不能由估价师在没有委托书的情况下代替法人签订合同。
(5)估价事项和技术路线应该在实质性估价活动之前完成。
(6)缺乏权属资料核实调查过程。
(7)由于两份估价分别由甲、乙完成,所以报告签字不能由甲、乙共同签名。
(8)缺乏审核。
2.确定土地估价事项的内容一般如下。
(1)确定估价对象。
(2)确定土地估价目的。
(3)土地估价期日。
(4)界定土地价格定义。
(5)土地估价中特别事项的说明。
(6)审核。
3.(1)住宅的价格定义:商品住宅用地、设定的开发程度、设定容积率、70年、出让土地使用权价格。
(2)对教育用地价格定义:公共建筑用地、现状开发程度、现状容积率、无年期、划拨土地使用权价格。
4.(1)出让底价主要依据周边拍卖价格进行比照确定不合理。因为拍卖价格是一种特定条件下的成交价格,如果直接比照确定,会使评估价格偏高。出让底价应该依照平均市场价确定。
(2)收回补偿价格评估主要采用市场比较法和收益还原法对原用途市场价进行评估不合理。因为收回补偿价格应该是原用途的划拨价格而不是完全市场价格,需要扣除国家所有权收益和有关税费部分。另外,由于教育用地的土地市场不发育且无收益,利用市场比较法与收益还原法等方法进行估价不合理。
5.(1)补偿价格的评估:先采用成本逼近法和基准地价系数修正法评估原用途的市场价格,再扣除国家所有权收益和有关税费部分确定划拨用途价格。
(2)出让底价的评估:先采用剩余法和市场比较法评估新用途的市场价值,然后根据宗地的具体条件和其他相关要求制订出让底价方案。
 
二、报告判读题:
2.下面是一份土地估价技术报告的总述部分(标注“略”的为正常内容)。请阅读后回答相关问题。
一、估价项目名称
××上市公司股权转让所涉及的土地使用权价格评估。
二、委托估价方
(略)
三、受托估价方
(略)
四、估价目的
本次土地估价是为××上市公司因股权转让核定土地价值,同时为正在办理的土地抵押
提供价格依据。
五、估价依据
(1)《中华人民共和国土地管理法》。
(2)《中华人民共和国城市房地产管理法》。
(3)《城镇土地估价规程》。
(4)土地估价委托书。
(5)估价人员实地勘察调查所获取的有关资料。
六、估价基准日
二00五年十二月三十一日。
七、估价日期
二00五年十二月三十日至二00六年一月五日。
八、地价定义
待估宗地的价格是在以下设定条件下于二00五年十二月三十一日的土地使用权市场价格。其中,开发程度为宗地红线外“六通”和宗地红线内场地平整,用途为商业用地,容积率为3.6,使用年期为商业用地剩余出让年限35年。
九、估价结果
估价人员在对两种估价方法评估结果及相应资料、估价参数进行综合分析的基础上,确定
估价结果为以下内容。
评估土地面积:2504.1m
单位面积地价:4069.07元/m
总地价:10189358元。
大写:壹仟零壹拾捌万玖仟叁佰伍拾捌元整(人民币)。
十、需要特殊说明的事项
(一)假设条件
(1)土地使用者合法拥有土地使用权,并支付有关税费。
(2)估价对象与其他生产要素相结合,能满足目前经营的正常进行,保证企业持续发展。
(3)在评估基准日的地产市场为公开、平等、自愿的交易市场。
(4)任何有关估价对象的运作方式、程序,符合国家、地方的有关法律、法规。
(5)委托方提供的资料属实。
(二)估价结果和估价报告的使用
(1)土地估价报告仅为委托方××公司股权转让核定土地价值提供依据,不能用于其他用途。
(2)在估价报告有效期内,若待估宗地的土地开发条件、规划条件等发生变化,估价结果应作相应调整。
(3)土地估价报告和估价结果的使用权归委托方所有,估价机构对估价结果有解释权。
十一、土地估价师签字
(1)土地估价师签字:×××土地估价师资格证书号:×××××××××
(2)土地估价师签字:×××土地估价师资格证书号:×××××××××
十二、土地估价机构
土地估价机构负责人签字:×××
(土地估价机构公章)
二00六年一月五日
请根据上述内容回答以下问题。
1.在“估价目的”一项中,关于土地估价目的的叙述是否正确?说明理由。
2.针对上述评估目的,有人认为股权转让是股东内部的事情,不需要对土地资产进行评估,此观点是否正确?请阐述你自己的看法。
3.土地估价依据一般包括哪些方面?在“估价依据”一项中所列出的依据还缺乏哪几方面?
4.在“地价定义”一项中,设定开发程度为宗地红线外“六通”和宗地红线内场地平整指的是(    )(只有1个选项)。
A.评估对象的规划开发程度
B.评估对象的实际开发程度
C.根据委托方要求划定的开发程度
D.根据资产评估要求界定的开发程度
5.在“需要特殊说明的事项”一项中,假设条款“委托方提供的资料属实”的含义是指(    )(只有1个选项)。
A.估价的准确性完全基于委托方提供资料的真实性
B.估价中没有对委托方提供的有关资料进行核实
C.可能存在的不实情况会影响土地估价结果
D.委托方应该承担资料不实的责任
6.假定委托方在报告的有效期内办理土地登记时,根据此评估结果填报了地价申报单。
请问这是否违反了需要特殊说明的事项一项中估价结果和估价报告的使用条款“土地估价报告仅为委托方××公司股权转让核定土地价值提供依据,不能用于其他用途”的规定。说明理由。
 
正确答案:
1.不正确。理由如下。
(1)一项估价只能有一个目的。
(2)土地抵押登记中的申报价值必须是以抵押为目的的估价结果依据。
2不正确。理由如下。
(1)股权转让必须进行资产核定,需要土地评估。
(2)随着时间的变化,土地可能发生增值和贬值,需要重新评估。
3.一般包括:①法律法规方面;②估价技术方面;③估价对象权属方面;④估价委托要求方面(目的、范围等);⑤现场勘察情况。
缺少:估价对象权属方面。
4.B
5.C
6.不违反。理由如下。
(1)土地登记时申报地价为自行报价,申报者单方负责,不一定需要专门评估,可以根据有关评估报告确定。
(2)土地登记时,地价申报不需要估价报告,采用估价报告的结果没有对原估价行为形成法律侵权。
 
3.下面是一份土地估价技术报告的市场比较法测算说明部分(标注“略”的为正常内容)。请阅读后回答相关问题。
1.比较案例的选择
根据收集到的近几年商业用地交易案例资料,确定了与待估宗地类似的三宗土地作为比较对象,基本情况如下表所示。

2.建立价格可比基础(略)
3.因素条件说明
整理估价人员收集的有关资料,将待估宗地与比较实例的因素条件列表表示,详见下表。

4.编制比较因素条件指数表
根据待估宗地和比较案例在交易日期、交易方式、区域因素、个别因素的差别,确定各比较因素条件指数如下表所示。

5.计算比准价格
将交易实例中的地价和待估宗地与比较实例的因素修正系数代人市场比计算公式,则:
比准地价A
=3808.71(元/m)
比准地价B
=3950.33(元/m)
比准地价C
=4387.56(元/m)
通过对上述三个比准价格分析比较,确定单位土地面积地价为4048.87元/m
请根据上述内容回答以下问题。
1.在对所选案例的说明中,隐含了一个前提性条件,请问这一前提性条件是什么?
2.比较案例中,有挂牌出让案例,并且没有对挂牌方式进行价格修正,是否合理?为什么?
试比较一般情况下土地挂牌出让与土地转让交易在市场环境方面的不同。
3.在交易时间的修正中,案例B的修正系数为100,说明(    )(只有1个选项)。
A.以案例B作为比较基准
B.案例B所在时点是地价指数基期
C.案例B所在时点与地价指数基期的市场地价水平一致
D.案例B与评估对象比较市场价格相差为零
4.该部分作为估价技术报告的内容,还有哪些错误和不完善的地方?
 
正确答案:
1.隐含的前提性条件是所选案例与估价对象在同一区域或同一供需圈。
2.不合理。挂牌是一种特殊的交易方式,交易结果可能偏离正常市场水平,只有在挂牌出让与股权转让价格形成环境基本一致的情况下才能确定可以不修正。
区别:①挂牌供给土地数量有限,供需不易平衡;②挂牌时间有限制;③挂牌场地少(交易场地少,缺乏灵活性);④挂牌土地信息有限。
3.C
4.存在错误和不完善的地方如下。
①编制比较因素条件指数表中,缺少地价指数和各因素条件指数的编制依据。
②未进行容积率修正。
③未进行使用年期修正。
④未说明由3个比准价格确定的单位面积地价的方法及原因。
 
4.下面是一个完整的土地估价技术报告(标注“略”的为正常内容),请阅读后指出错误并说明原因(每指出一处错误并简述原因的得1.25分,只指出错误不简述原因不得分,总分最高为30分)。

土地估价技术报告
第一部分总述
一、估价项目名称
××公司位于××区××路××号用地地价评估。
二、委托估价方
(略)
三、受托估价方
(略)
四、估价对象
估价对象为××公司位于××市××区××路××号营业楼用地,面积595.58m
五、估价目的
本次评估是为委托方提供该宗地的土地使用权价格,为委托方因经营需要转让该宗土地提供价格依据。
六、估价依据
(1)《中华人民共和国土地管理法》。
(2)《中华人民共和国城市房地产管理法》。
(3)《国有企业改革中划拨土地使用权管理暂行规定》。
(4)《城镇土地估价规程》。
(5)《土地估价报告规范格式》。
(6)××省关于土地管理的法律、法规。
(7)评估委托书。
(8)估价对象《房屋所有权证》。
(9)受托估价方实地勘察调查所获取的有关资料。
七、价格定义
估价对象作为商业用地,在容积率为4.9,开发程度为场内“五通一平”、场外“六通一平”状态下,于估价期日的40年期的土地价格。
八、估价期日
二00九年十二月三十一日。
九、估价日期
二00九年十二月三十日至二0一0年一月十日。
十、估价结果
估价机构在充分调查和分析估价对象实际情况的基础上,依据科学的估价程序,确定估价结果为以下内容。
委估土地面积:595.58m
单位面积地价:4485.25元/m
总地价:2671325元。
大写:(人民币)贰佰陆拾柒万壹仟叁佰贰拾伍元整。
十一、需要特殊说明的事项
(1)本报告估价结果为估价期日及设定容积率和土地开发程度的商业用地的土地价格,若条件发生改变,则本结果应做相应调整。
(2)本报告结果只为此次估价目的服务,如用做其他目的,其价格应做相应调整。
十二、土地估价师签名
(略)
十三、土地估价机构
(略)
二0一0年一月十日

第二部分估价对象描述及地价影响因素分析
一、估价对象描述
1.土地位置状况
估价对象位于××市××区××路××号,土地证号为×国用(××)字第××号,土地面积为595.58m,东至××路、南至××、西至××××、北至××××,宗地号为××××。
2.土地权利状况
估价对象是××公司以划拨方式取得的国有土地使用权,土地所有权属国家。××公司拟以出让方式取得该宗地40年期商业用途的土地使用权后,转让出售该房地产。获得出让土地使用权后.其转让、出租、抵押等经济活动的合法权益受法律保护。
3.建筑物和地上附着物状况
估价对象上有一幢建于1991年的钢混结构建筑物,现用于商业经营和办公,建筑面积2914.5m,有效使用率80%。
二、地价影响因素分析
(一)区域因素(略)
(二)个别因素(略)

第三部分土地估价
一、估价原则
(1)最有效使用原则(略)。
(2)贡献原则(略)。
(3)变动原则(略)。
(4)合法原则(略)。
二、估价方法与估价过程
(一)估价方法的选择
估价人员通过现场勘察,在认真分析调查收集资料的基础上,遵循估价原则,确定采用收益还原法、市场比较法评估待估宗地地价。
(二)估价过程
1.收益还原法
(1)计算估价对象总楼价。
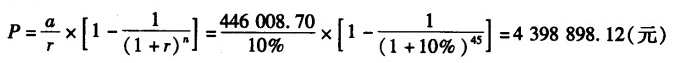
计算公式为:

式中P-总楼价;
a-房地年纯收益。其参数通过房地的正常租金水平测得;
r-综合还原率;
n-房地尚可使用年限。
估价对象地上建筑物的耐用年限为60年,经现场查勘,该房屋尚可使用年限为45年。建筑物重置单价为700元/m,残值率为0。
根据估价人员现场观察和对照《房屋完损等级评定标准》,确定本次估价对象地上建筑物于估价期日为基本完好房,成新率为75%。
(2)确定客观租金。
应用市场比较法确定客观租金。
①选择可比实例。
根据收集的市场资料进行筛选,选取以下3个房地出租实例,详见《房地出租比较实例基本情况一览表》。(略)
②影响租金因素修正(略)。
③客观租金的计算及确定。
比准价格A=243.60元/m
比准价格B=233.40元/m
比准价格C=249.09元/m
取比准价格A、比准价格B、比准价格C的算术平均数作为估价对象的客观租金,即
客观租金=(243.60+233.40+249.09)/3=242.03(元/m)
(3)计算房地总收益。
年总收益=2914.50×0.8×242.03=564317.15(元)
(4)计算年总费用。
①管理费。
根据调查了解,当地房屋出租的经营管理费为房屋租金的3%。即:
房屋出租经营管理费=房地年租金×3%=564317.15×3%=16929.51(元)
②维修费。
根据××市建设和房管部门提供的资料,市区房屋出租年经营维修费为房屋重置价格的2%,即:
房屋出租经营维修费=房屋重置价×2%=2914.50×700×2%=40803(元)
③保险费。
根据调查,市区房屋保险费率为房屋现值的2%0,即:
房屋年保险费=房屋现值×2‰=2914.50×700×75%×2‰=3060.23(元)
④房屋年折旧额。

⑤租金损失。
根据调查,房屋出租租金损失-般为半月租金.即:
租金损失=(564317.15/12)/2=23513.21(元)
年总费用=①+②+③+④+⑤=118308.45(元)
(5)房地年纯收益。
房地年纯收益=房地年出租总收益-房地年出租总费用
=564317.15-118308.45=446008.70(元)
(6)确定综合还原率。
采用收益排序插入法确定综合还原率为10%。
(7)计算总楼价。

(8)房屋现值。
房屋现值=房屋重置价×成新率=2914.50×700×75%=1530112.5(元)
(9)总地价。
总地价=总楼价-房屋现值=4398898.12-1530112.5=2868785.62(元)
2.市场比较法
(1)选择房地出售实例。
估价人员对收集的多宗交易实例进行比较分析后,选择了三宗交易实例作为比较实例,基本情况见下表。

(2)房屋占地地价计算。
①房屋现值计算。
房屋现值=房屋重置价×成新率
实例A房屋现值=580×2356×80%=1093184(元)
实例B房屋现值=600×1848×75%=831600(元)
实例C房屋现值=580×2187.90×70%=888287.40(元)
②实例地价计算。
据调查,房屋买卖中,卖方应支付的税费为正常交易价的8.5%,则:
单位地价=(房屋交易价-房屋现值-卖方应支付的税费)/房屋用地面积
实例A单位面积地价=(3100000-1093184-3100000×8.5%)/496
=3514.75(元m)
实例B单位面积地价=(2600000-831600-2600000×8.5%)/385
=4019.22(元/m)
实例C单位面积地价=(2750000-888287.40-2750000×8.5%)/442
=3683.17(元/m)
③比较因素条件指数。
分别将估价对象和比较实例的各比较因素对比分析,确定出相应的条件指数如下表所示。


④因素修正系数。
根据已得到的各比较因素条件指数,计算各比较因素的地价修正系数如下表所示。

⑤计算比准价格。
将交易实例中的地价和估价对象与比较实例因素修正系数代入计算公式,则:
比准价格A
=4000.69(元/m)
比准价格B
=4264.22(元/m)
比准价格C
=4072.63(元/m)
通过对上述3个比准价格分析比较,确定土地单位面积地价为4264.22元/m
三、地价的确定
估价人员鉴于估价对象特定目的,认为应取市场比较法和收益还原法的估价结果的算术
平均数作为估价对象的最终估价结果,即:
单位面积地价=4816.80×0.4+4264.22×0.6=4485.25(元/m)
楼面地价=4485.25/4.9=915.36(元/m)
总地价=4485.25×595.58=2671325(元)(取整)
第四部分附录
(1)估价对象《国有土地使用证》。
(2)估价对象宗地图。
(3)估价机构《土地估价机构资质证书》。
(4)土地估价师资格证书。
(5)估价对象照片。
(6)委托估价协议书。
 
正确答案:
第一部分总述
(1)估价依据中,缺少估价对象土地证书或权属证明。
(2)估价依据中,“××省关于土地管理的法律、法规”提法太笼统,未说明与本次评估有关的法律、法规是哪些。
(3)估价定义中,未说明是什么权利的土地价格。
(4)估价结果中,缺少楼面地价。
(5)缺少《估价结果一览表》。
(6)需要特殊说明的事项中,缺少估价假设条件、资料来源、估价结果有效的条件等事项的说明。
第二部分估价对象描述及地价影响因素分析
(7)土地位置状况中,缺少土地用途、土地级别的描述。
(8)土地权利状况中,缺少他项权利状况的描述。
(9)建筑物状况描述不详。
(10)地价影响因素分析中,缺少一般因素的描述。
第三部分土地估价
(11)估价原则中,缺少与本次估价方法紧密相关的替代原则、预期收益原则等。
(12)未说明估价方法选择的依据。
(13)收益还原法中,租金与价格概念混淆,“比准价格”应为“比准租金”。
(14)未说明客观租金计算方法的选择依据。
(15)折旧中耐用年限不能直接用房屋使用年限60年。
(16)出租总费用中漏计税费项目。
(17)未说明综合还原率确定的过程及依据。
(18)总楼价计算中的使用年期(n)应为土地的使用年限40年,而不能用房屋剩余使用年限45年。
(19)收益还原法估价结果无单位地价。
(20)市场比较法的基本情况表中,估价对象的用地面积、重置单价与报告前面的叙述不符。
(21)市场比较法中,缺少比较因素选择的程序。
(22)比较因素中还应有容积率等的修正。
(23)未说明地价指数的来源依据。
(24)估价对象与比较实例C的交易时间相同,但确定的地价指数不一致。
(25)未说明由3个比准价格确定土地单位面积地价的方法及原因。
(26)地价的确定中,描述是采用两种方法估价结果的算术平均数,实际计算则采用的是加权平均数。
(27)地价的确定中,估价结果无大写。
第四部分附录
(28)缺少估价对象房屋产权证。
(29)缺少估价对象位置示意图
(30)缺少估价机构工商营业执照。
(31)报告的文字描述不够规范,如“可比实例”、“房屋占地地价”等不规范提法;将估价对象的许多基本情况不在“估价对象描述”中介绍,而在收益还原法中进行较多描述。

百分百考试网 考试宝典

立即免费试用